基本信息
| 产品名称 |
原卟啉二甲基酯血卟啉醚 |
| 英文名 |
Protoporphyrin Dimethyl Ester Hematoporphyrin Ether |
| 别名 |
21H,23H-Porphine-2,18-Dipropanoic Acid, 8-(1-(1-(2,18-Bis(2-Carboxyethyl)-12-(1-Hydroxyethyl)-3,8,13,17-Tetramethyl-21H,23H,Porphin-7-Yl)Ethoxy)Ethyl)-13-Ethenyl-3,7,12,17-Tetramethyl-, Alpha2,Alpha18-Dimethyl Ester; Phdehe; Protoporphyrin Dimethyl Ester Hematoporphyrin Ether |
|
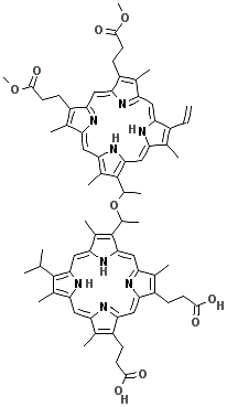
| 分子结构 |
 |
| 分子式 |
C71H78N8O9 |
| 分子量 |
1187.45 |
| CAS 登录号 |
121806-85-7 |
| 分子行输入简码 SMILES |
C(C1=C3[NH]C(=C1C)C=C2C(=C(C(=N2)C=C5C(=C(C(=CC4=NC(=C3)C(=C4C)CCC(OC)=O)[NH]5)C=C)C)C(OC(C8=C(C9=CC%10=NC(=CC6=C(C(=C([NH]6)C=C7C(=C(C(=N7)C=C8[NH]9)C)CCC(O)=O)CCC(O)=O)C)C(=C%10C(C)C)C)C)C)C)C)CC(OC)=O |
| 国际化学标识码 InChI |
1S/C71H78N8O9/c1-16-44-34(4)52-28-63-70(40(10)55(78-63)26-50-37(7)47(19-23-67(84)86-14)60(74-50)32-61-48(20-24-68(85)87-15)38(8)51(75-61)27-57(44)72-52)42(12)88-43(13)71-41(11)56-30-62-69(33(2)3)39(9)54(77-62)25-49-35(5)45(17-21-65(80)81)58(73-49)31-59-46(18-22-66(82)83)36(6)53(76-59)29-64(71)79-56/h16,25-33,42-43,72-74,79H,1,17-24H2,2-15H3,(H,80,81)(H,82,83) |
| 国际化学标识检索码 InChIKey |
QZDJOQJWUMVRBI-UHFFFAOYSA-N |
|