Online Database of Chemicals from Around the World

S-(2-氧代十五烷基)-辅酶A
[CAS# 121124-66-1]

供应商
CAS#: 121124-66-1
产品: S-(2-氧代十五烷基)-辅酶A
暂时没有厂家供应该产品。
基本信息
产品名称 S-(2-氧代十五烷基)-辅酶A
英文名 S-(2-oxopentadecyl)-Coenzyme A
别名 [(2R,3S,4R,5R)-5-(6-Aminopurin-9-Yl)-4-Hydroxy-3-Phosphonooxy-Tetrahydrofuran-2-Yl]Methyl [Hydroxy-[3-Hydroxy-2,2-Dimethyl-4-Oxo-4-[[3-Oxo-3-[2-(2-Oxopentadecylsulfanyl)Ethylamino]Propyl]Amino]Butoxy]Phosphoryl] Hydrogen Phosphate; [(2R,3S,4R,5R)-5-(6-Amino-9-Purinyl)-4-Hydroxy-3-Phosphonooxy-2-Tetrahydrofuranyl]Methyl [Hydroxy-[3-Hydroxy-2,2-Dimethyl-4-Oxo-4-[[3-Oxo-3-[2-(2-Oxopentadecylthio)Ethylamino]Propyl]Amino]Butoxy]Phosphoryl] Hydrogen Phosphate; [(2R,3S,4R,5R)-5-(6-Aminopurin-9-Yl)-4-Hydroxy-3-Phosphonooxy-Tetrahydrofuran-2-Yl]Methyl [Hydroxy-[3-Hydroxy-4-Keto-4-[[3-Keto-3-[2-(2-Ketopentadecylthio)Ethylamino]Propyl]Amino]-2,2-Dimethyl-Butoxy]Phosphoryl] Hydrogen Phosphate
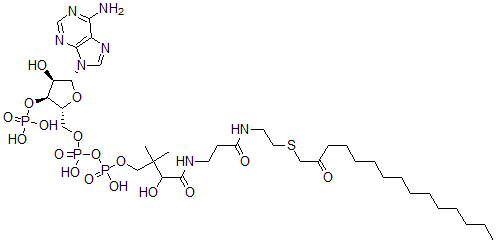
分子结构 CAS 登录号:121124-66-1, S-(2-氧代十五烷基)-辅酶A
分子式 C36H64N7O17P3S
分子量 991.92
CAS 登录号 121124-66-1
分子行输入简码 SMILES [C@H]3([N]2C1=C(C(=NC=N1)N)N=C2)[C@@H]([C@H](O[P](=O)(O)O)[C@H](O3)CO[P](O[P](OCC(C(C(=O)NCCC(=O)NCCSCC(=O)CCCCCCCCCCCCC)O)(C)C)(=O)O)(=O)O)O
国际化学标识码 InChI 1S/C36H64N7O17P3S/c1-4-5-6-7-8-9-10-11-12-13-14-15-25(44)21-64-19-18-38-27(45)16-17-39-34(48)31(47)36(2,3)22-57-63(54,55)60-62(52,53)56-20-26-30(59-61(49,50)51)29(46)35(58-26)43-24-42-28-32(37)40-23-41-33(28)43/h23-24,26,29-31,35,46-47H,4-22H2,1-3H3,(H,38,45)(H,39,48)(H,52,53)(H,54,55)(H2,37,40,41)(H2,49,50,51)/t26-,29-,30-,31?,35-/m1/s1
国际化学标识检索码 InChIKey JKWHUJMJVNMKEF-DJEJIMQCSA-N
物理化学性质
密度 1.566g/cm3 (计算值)
市场分析报告
请浏览S-(2-氧代十五烷基)-辅酶A市场分析报告总目录
相关产品
[3-甲酰基-4-(苯基甲氧基)苯基]硼酸  5-偶氮基-2-羟基苯甲酸酯  (2R,3R,4R,5S)-2-(羟基甲基)-1-...  3'-叠氮基-3'-脱氧胸苷基-(5',5')-2...  (4-硝基苯基)甲基(2S)-2-(1,3-二氧代...  12-(2-甲基丙-2-烯酰氧基)十二烷基2-甲基...  N-(4-叠氮基-2,6-二乙基苯基)-4,5-二...  次乙基甲基铵六氟磷酸盐  三甲基氧鎓六氟磷酸盐  二(9,10-菲醌二亚胺)(菲咯啉)铑(III)  二(菲醌二亚胺)(联吡啶)铑(III)  钆-1,4,7-三氮杂环壬烷-N,N',N''-三...  4-氨基-4-甲基戊-2-炔醛  2-氨基丁烷酰基-L-苏氨酰-L-天冬氨酰胺酰-L...  [(1S)-3-[(Z)-丁-2-烯基]-2-甲基...