基本信息
| 产品名称 |
1,4,7,10-四氮杂环十二烷-N,N',N'',N'''-四(亚甲基膦酸)钆 |
| 英文名 |
Gadolinium-1,4,7,10-tetraazacyclododecane-N,N',N'',N'''-tetrakis(methylenephosphonic acid) |
| 别名 |
Gadolinium(+3) Cation; Methanolate; Oxido-Oxo-[[4,7,10-Tris(Phosphonatomethyl)-1,4,7,10-Tetrazacyclododec-1-Yl]Methyl]Phosphonium; Gadolinium(+3) Cation; Keto-Oxido-[[4,7,10-Tris(Phosphonatomethyl)-1,4,7,10-Tetrazacyclododec-1-Yl]Methyl]Phosphonium; Methanolate |
|
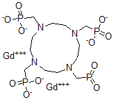
| 分子结构 |
 |
| 分子式 |
C13H27GdN4O12P4 |
| 分子量 |
712.52 |
| CAS 登录号 |
120721-77-9 |
| 分子行输入简码 SMILES |
[Gd+3].[P](=O)(=O)CN1CCN(CCN(CCN(CC1)C[P]([O-])([O-])=O)C[P]([O-])([O-])=O)C[P]([O-])([O-])=O.C[O-] |
| 国际化学标识码 InChI |
1S/C12H30N4O11P4.CH3O.Gd/c17-28(18)9-13-1-3-14(10-29(19,20)21)5-7-16(12-31(25,26)27)8-6-15(4-2-13)11-30(22,23)24;1-2;/h1-12H2,(H2,19,20,21)(H2,22,23,24)(H2,25,26,27);1H3;/q;-1;+3/p-6 |
| 国际化学标识检索码 InChIKey |
NNXYFOYQNLIAGG-UHFFFAOYSA-H |
|