Online Database of Chemicals from Around the World

Unphenelfamycin
[CAS# 118498-90-1]

Suppliers
CAS#: 118498-90-1
Product: Unphenelfamycin
No suppilers available for the product.
Identification
Name Unphenelfamycin
Synonyms (2E,4E,6E)-7-[3-Hydroxy-5-[(3E,5E)-7-[[3-(3-Hydroxy-6-Methoxy-2-Methyl-Tetrahydropyran-4-Yl)Oxy-2-[2,3,4-Trihydroxy-5,5-Dimethyl-6-[(1E,3E)-Penta-1,3-Dienyl]Tetrahydropyran-2-Yl]Propanoyl]Amino]-2-Methoxy-1,3-Dimethyl-Hepta-3,5-Dienyl]Tetrahydrofuran-2-Yl]Hepta-2,4,6-Trienoic Acid; (2E,4E,6E)-7-[3-Hydroxy-5-[(3E,5E)-7-[[3-[(3-Hydroxy-6-Methoxy-2-Methyl-4-Tetrahydropyranyl)Oxy]-1-Oxo-2-[2,3,4-Trihydroxy-5,5-Dimethyl-6-[(1E,3E)-Penta-1,3-Dienyl]-2-Tetrahydropyranyl]Propyl]Amino]-2-Methoxy-1,3-Dimethylhepta-3,5-Dienyl]-2-Tetrahydrofuranyl]Hepta-2,4,6-Trienoic Acid; (2E,4E,6E)-7-[3-Hydroxy-5-[(4E,6E)-8-[[3-(3-Hydroxy-6-Methoxy-2-Methyl-Oxan-4-Yl)Oxy-2-[2,3,4-Trihydroxy-5,5-Dimethyl-6-[(1E,3E)-Penta-1,3-Dienyl]Oxan-2-Yl]Propanoyl]Amino]-3-Methoxy-4-Methyl-Octa-4,6-Dien-2-Yl]Oxolan-2-Yl]Hepta-2,4,6-Trienoic Acid
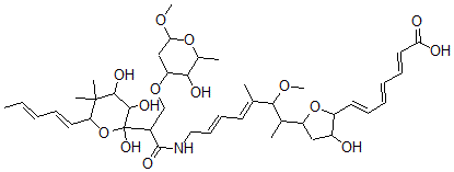
Molecular Structure CAS#: 118498-90-1, Unphenelfamycin
Molecular Formula C43H65NO14
Molecular Weight 819.98
CAS Registry Number 118498-90-1
SMILES C(OC1C(O)C(OC(OC)C1)C)C(C2(OC(C(C(O)C2O)(C)C)\C=C\C=C\C)O)C(=O)NC\C=C\C=C(C(OC)C(C3OC(C(O)C3)\C=C\C=C\C=C\C(=O)O)C)/C
InChI 1S/C43H65NO14/c1-9-10-13-20-34-42(5,6)39(49)40(50)43(52,58-34)29(25-55-33-24-36(53-7)56-28(4)37(33)48)41(51)44-22-17-16-18-26(2)38(54-8)27(3)32-23-30(45)31(57-32)19-14-11-12-15-21-35(46)47/h9-21,27-34,36-40,45,48-50,52H,22-25H2,1-8H3,(H,44,51)(H,46,47)/b10-9+,12-11+,17-16+,19-14+,20-13+,21-15+,26-18+
InChIKey HNIKNQLZTDKDEB-JVSQKCCUSA-N
Market Analysis Reports
List of Reports Available for Unphenelfamycin
Related Products
Phenelfamycin A  Phenelfamycin B  Phenelfamycin C  7,8,10-Trihydroxy-7,8,9,10-Tetrahydroben...  3,4-Dimethylhexane-3,4-Diol  7-[(3-Aminobenzoyl)Amino]-4-Hydroxynapht...  1,1,2,2-Tetrachloroethanesulphenyl chlor...  Difluoro-Dinitromethane  2-((3-beta,5R,6-beta)-3-(Acetyloxy)Chole...  Poly(N-isopropylacrylamide-N-n-butylacry...  4-(4-Bromophenylazo)Diphenylamine  3-(4-Chlorophenyl)-1-[4-[4-Oxo-2-(Phenox...  Sodium 2-Ethyl-2-Methylhexanoate  2,2-Dimethylbutan-1-Ol  [(2S)-2-(3-Methoxypentan-3-Yl)Pyrrolidin...