Online Database of Chemicals from Around the World

N(alpha)-Dimethylcoprogen
[CAS# 117892-97-4]

Suppliers
CAS#: 117892-97-4
Product: N(alpha)-Dimethylcoprogen
No suppilers available for the product.
Identification
Name N(alpha)-Dimethylcoprogen
Synonyms Ferric [(Z)-5-[3-[5-[3-[[(Z)-5-Hydroxy-3-Methyl-Pent-2-Enoyl]-Oxido-Amino]Propyl]-3,6-Dioxo-Piperazin-2-Yl]Propyl-Oxido-Amino]-3-Methyl-5-Oxo-Pent-3-Enyl] 2-Dimethylamino-5-[[(Z)-5-Hydroxy-3-Methyl-Pent-2-Enoyl]-Oxido-Amino]Pentanoate; Ferric 2-Dimethylamino-5-[[(Z)-5-Hydroxy-3-Methyl-1-Oxopent-2-Enyl]-Oxidoamino]Pentanoic Acid [(Z)-5-[3-[5-[3-[[(Z)-5-Hydroxy-3-Methyl-1-Oxopent-2-Enyl]-Oxidoamino]Propyl]-3,6-Dioxo-2-Piperazinyl]Propyl-Oxidoamino]-3-Methyl-5-Oxopent-3-Enyl] Ester; Ferric 2-Dimethylamino-5-[[(Z)-5-Hydroxy-3-Methyl-Pent-2-Enoyl]-Oxido-Amino]Valeric Acid [(Z)-5-[3-[5-[3-[[(Z)-5-Hydroxy-3-Methyl-Pent-2-Enoyl]-Oxido-Amino]Propyl]-3,6-Diketo-Piperazin-2-Yl]Propyl-Oxido-Amino]-5-Keto-3-Methyl-Pent-3-Enyl] Ester
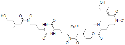
Molecular Structure CAS#: 117892-97-4, N(alpha)-Dimethylcoprogen
Molecular Formula C35H55FeN6O12
Molecular Weight 807.70
CAS Registry Number 117892-97-4
SMILES C(C1NC(=O)C(NC1=O)CCCN([O-])C(=O)\C=C(/CCO)C)CCN([O-])C(=O)\C=C(/CCOC(=O)C(N(C)C)CCCN([O-])C(=O)\C=C(\CCO)C)C.[Fe+3]
InChI 1S/C35H55N6O12.Fe/c1-24(12-18-42)21-30(44)39(50)15-6-9-27-33(47)37-28(34(48)36-27)10-7-16-40(51)32(46)23-26(3)14-20-53-35(49)29(38(4)5)11-8-17-41(52)31(45)22-25(2)13-19-43;/h21-23,27-29,42-43H,6-20H2,1-5H3,(H,36,48)(H,37,47);/q-3;+3/b24-21-,25-22+,26-23-;
InChIKey JDHISTLPUACCFK-IYMJAPOQSA-N
Market Analysis Reports
List of Reports Available for N(alpha)-Dimethylcoprogen
Related Products
Bis(4'-N-Octanoxyazobenzene-4-Carboxyl)P...  1,1,1-Trifluoro-4-(4-Hydroxyphenyl)Butan...  N,N'-Bis(Iodoacetamide)  Meso-1,2-Bis(4-Bromophenyl)Ethanediamine  1-(2-Furoyl)Pyrrolidine-2-Carboxylic Aci...  1-(Thiophene-2-Carbonyl)-Pyrrolidine-2-C...  2-Carboxy-4-Ethoxycarbonyl-1-Oxo-1H,5H-P...  [4-[4-(2-Ethylphenyl)butan-2-yl]phenyl]m...  Cefazolin delta-3-Methyl Ester  2,7-Dinitro-4,5-Dihydropyrene  2-Nitro-4,5-Dihydropyrene  2,7-Dinitropyrene  1-Benzoyl-7-Chloro-1,2-Dihydro-3-Aminoqu...  1-methyl-2-(1-methylethyl)-Benzene mixt....  2-Thioxo-1-Pyrrolidinethioacetamide