Online Database of Chemicals from Around the World

杠柳苷D
[CAS# 116709-64-9]

供应商
CAS#: 116709-64-9
产品: 杠柳苷D
暂时没有厂家供应该产品。
基本信息
产品名称 杠柳苷D
英文名 Periplocoside D
别名 2-[[17-[1-[5'-[5-[5-[5-(3,5-Dihydroxy-4-Methoxy-6-Methyl-Tetrahydropyran-2-Yl)Oxy-4-Methoxy-6-Methyl-Tetrahydropyran-2-Yl]Oxy-4-Methoxy-6-Methyl-Tetrahydropyran-2-Yl]Oxy-4-Methoxy-6-Methyl-Tetrahydropyran-2-Yl]Oxy-4'-Methoxy-6',9-Dimethyl-Spiro[4,5A,6,7,9,9A-Hexahydropyrano[4,5-F][1,2,5]Trioxepine-3,2'-Tetrahydropyran]-7-Yl]Oxyethyl]-17-Hydroxy-10,13-Dimethyl-1,2,3,4,7,8,9,11,12,14,15,16-Dodecahydrocyclopenta[A]Phenanthren-3-Yl]Oxy]-4-Methoxy-6-Methyl-6H-Pyran-3-One; 2-[[17-[1-[[5'-[[5-[[5-[[5-[(3,5-Dihydroxy-4-Methoxy-6-Methyl-2-Tetrahydropyranyl)Oxy]-4-Methoxy-6-Methyl-2-Tetrahydropyranyl]Oxy]-4-Methoxy-6-Methyl-2-Tetrahydropyranyl]Oxy]-4-Methoxy-6-Methyl-2-Tetrahydropyranyl]Oxy]-4'-Methoxy-6',9-Dimethyl-7-Spiro[4,5A,6,7,9,9A-Hexahydropyrano[4,5-F][1,2,5]Trioxepine-3,2'-Tetrahydropyran]Yl]Oxy]Ethyl]-17-Hydroxy-10,13-Dimethyl-1,2,3,4,7,8,9,11,12,14,15,16-Dodecahydrocyclopenta[A]Phenanthren-3-Yl]Oxy]-4-Methoxy-6-Methyl-6H-Pyran-3-One; 2-[[17-[1-[5'-[5-[5-[5-(3,5-Dihydroxy-4-Methoxy-6-Methyl-Oxan-2-Yl)Oxy-4-Methoxy-6-Methyl-Oxan-2-Yl]Oxy-4-Methoxy-6-Methyl-Oxan-2-Yl]Oxy-4-Methoxy-6-Methyl-Oxan-2-Yl]Oxy-4'-Methoxy-6',9-Dimethyl-Spiro[4,5A,6,7,9,9A-Hexahydropyrano[4,5-F][1,2,5]Trioxepine-3,2'-Oxane]-7-Yl]Oxyethyl]-17-Hydroxy-10,13-Dimethyl-1,2,3,4,7,8,9,11,12,14,15,16-Dodecahydrocyclopenta[A]Phenanthren-3-Yl]Oxy]-4-Methoxy-6-Methyl-6H-Pyran-3-One
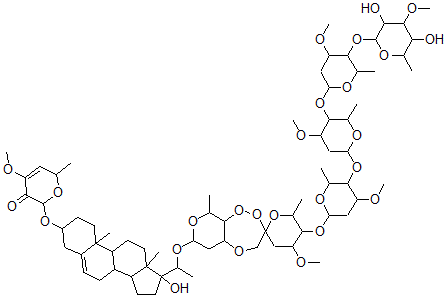
分子结构 CAS 登录号:116709-64-9, 杠柳苷D
分子式 C70H112O26
分子量 1369.64
CAS 登录号 116709-64-9
分子行输入简码 SMILES CC8%10C(C(OC2OC(C1OOC7(COC1C2)OC(C(OC6OC(C(OC5OC(C(OC4OC(C(OC3C(C(OC)C(C(O3)C)O)O)C(C4)OC)C)C(C5)OC)C)C(C6)OC)C)C(C7)OC)C)C)C)(CCC8C9CC=C%12C(C9CC%10)(CCC(OC%11C(C(=CC(O%11)C)OC)=O)C%12)C)O
国际化学标识码 InChI 1S/C70H112O26/c1-33-25-46(75-11)57(72)65(82-33)89-42-19-22-67(9)41(26-42)17-18-43-44(67)20-23-68(10)45(43)21-24-70(68,74)40(8)88-52-30-50-63(38(6)86-52)95-96-69(32-81-50)31-51(79-15)62(39(7)94-69)92-55-28-48(77-13)60(36(4)84-55)90-53-27-47(76-12)59(35(3)83-53)91-54-29-49(78-14)61(37(5)85-54)93-66-58(73)64(80-16)56(71)34(2)87-66/h17,25,33-40,42-45,47-56,58-66,71,73-74H,18-24,26-32H2,1-16H3
国际化学标识检索码 InChIKey FKEFEVSJQJDJAJ-UHFFFAOYSA-N
物理化学性质
密度 1.297g/cm3 (计算值)
市场分析报告
请浏览杠柳苷D市场分析报告总目录
相关产品
杠柳苷O  5-(苯并噻唑-2-基巯基甲基)-4-苯基-4H-...  9-[3-[3-(三氟甲基)苯氧基]丙基]-9-氮...  N-((2,3-二氢-1,4-苯并二氧杂环己-2-...  甲基6''-脱氧-6'-氟异麦芽糖苷  甲基-6''-脱氧-6'-氟异麦芽糖苷三糖  3-(2-氟苯氧基)丙-1-胺盐酸盐  1,4-二[(2,4,6-三乙基苯基)氨基]蒽-9...  1-[(3S,8R,9S,10R,13S,14S,...  15-(4-碘苯基)-3-甲基十五烷酸  7-(1,3-二噻戊环-2-基甲基)-1,3-二甲...  N(beta)-(Leu-Arg-Arg-Leu-...  1,4-二[(9,10-二氧代蒽-1-基)氨基]蒽...  1-氨基-2-甲基-4-[(4-甲基苯基)氨基]蒽...  肌醇1,4-二磷酸酯5-硫代磷酸酯