Identification
| Name |
1,2-Dipalmitoylphosphatidylfluorouridine |
| Synonyms |
[(2R)-3-[[(2R,3S,4R,5R)-5-(5-Fluoro-2,4-Dioxo-Pyrimidin-1-Yl)-3,4-Dihydroxy-Tetrahydrofuran-2-Yl]Methoxy-Hydroxy-Phosphoryl]Oxy-2-Hexadecanoyloxy-Propyl] Hexadecanoate; Hexadecanoic Acid [(2R)-3-[[(2R,3S,4R,5R)-5-(5-Fluoro-2,4-Dioxo-1-Pyrimidinyl)-3,4-Dihydroxy-2-Tetrahydrofuranyl]Methoxy-Hydroxyphosphoryl]Oxy-2-(1-Oxohexadecoxy)Propyl] Ester; Palmitic Acid [(2R)-3-[[(2R,3S,4R,5R)-5-(5-Fluoro-2,4-Diketo-Pyrimidin-1-Yl)-3,4-Dihydroxy-Tetrahydrofuran-2-Yl]Methoxy-Hydroxy-Phosphoryl]Oxy-2-Hexadecanoyloxy-Propyl] Ester |
|
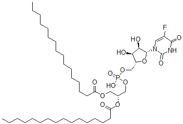
| Molecular Structure |
 |
| Molecular Formula |
C44H78FN2O13P |
| Molecular Weight |
893.08 |
| CAS Registry Number |
116662-09-0 |
| SMILES |
[C@H]1([C@H]([C@H]([C@@H](O1)N2C=C(C(NC2=O)=O)F)O)O)CO[P](OC[C@@H](COC(=O)CCCCCCCCCCCCCCC)OC(CCCCCCCCCCCCCCC)=O)(O)=O |
| InChI |
1S/C44H78FN2O13P/c1-3-5-7-9-11-13-15-17-19-21-23-25-27-29-38(48)56-32-35(59-39(49)30-28-26-24-22-20-18-16-14-12-10-8-6-4-2)33-57-61(54,55)58-34-37-40(50)41(51)43(60-37)47-31-36(45)42(52)46-44(47)53/h31,35,37,40-41,43,50-51H,3-30,32-34H2,1-2H3,(H,54,55)(H,46,52,53)/t35-,37-,40-,41-,43-/m1/s1 |
| InChIKey |
MLDDIEKWKISTIH-WOHQXHJXSA-N |
|