基本信息
| 产品名称 |
beta,beta'-单氯亚甲基二腺苷 5',5'''-P(1),P(4)-四联磷酸酯 |
| 英文名 |
beta,beta'-Monochloromethylene diadenosine 5',5'''-P(1),P(4)-tetraphosphate |
| 别名 |
[[[(2R,3S,4R,5R)-5-(6-Aminopurin-9-Yl)-2-[[[[(2R,3S,4R,5R)-5-(6-Aminopurin-9-Yl)-3,4-Dihydroxy-Tetrahydrofuran-2-Yl]Methoxy-Hydroxy-Phosphoryl]Oxy-Hydroxy-Phosphoryl]Oxymethyl]-4-Hydroxy-Tetrahydrofuran-3-Yl]Oxy-Hydroxy-Phosphoryl]-Chloro-Methyl]Phosphonic Acid; [[[(2R,3S,4R,5R)-5-(6-Amino-9-Purinyl)-2-[[[[(2R,3S,4R,5R)-5-(6-Amino-9-Purinyl)-3,4-Dihydroxy-2-Tetrahydrofuranyl]Methoxy-Hydroxyphosphoryl]Oxy-Hydroxyphosphoryl]Oxymethyl]-4-Hydroxy-3-Tetrahydrofuranyl]Oxy-Hydroxyphosphoryl]-Chloromethyl]Phosphonic Acid; [[[(2R,3S,4R,5R)-5-(6-Aminopurin-9-Yl)-2-[[[[(2R,3S,4R,5R)-5-(6-Aminopurin-9-Yl)-3,4-Dihydroxy-Oxolan-2-Yl]Methoxy-Hydroxy-Phosphoryl]Oxy-Hydroxy-Phosphoryl]Oxymethyl]-4-Hydroxy-Oxolan-3-Yl]Oxy-Hydroxy-Phosphoryl]-Chloro-Methyl]Phosphonic Acid |
|
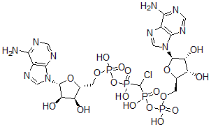
| 分子结构 |
 |
| 分子式 |
C21H29ClN10O18P4 |
| 分子量 |
868.86 |
| CAS 登录号 |
116371-34-7 |
| 分子行输入简码 SMILES |
[C@H]1(O[C@@H]([C@@H](O[P](=O)(O)C(Cl)[P](=O)(O)O)[C@H]1O)CO[P](O[P](OC[C@H]4O[C@@H]([N]2C3=C(N=C2)C(=NC=N3)N)[C@H](O)[C@@H]4O)(=O)O)(=O)O)[N]5C6=C(N=C5)C(=NC=N6)N |
| 国际化学标识码 InChI |
1S/C21H29ClN10O18P4/c22-21(51(36,37)38)52(39,40)49-14-8(48-20(13(14)35)32-6-30-10-16(24)26-4-28-18(10)32)2-46-54(43,44)50-53(41,42)45-1-7-11(33)12(34)19(47-7)31-5-29-9-15(23)25-3-27-17(9)31/h3-8,11-14,19-21,33-35H,1-2H2,(H,39,40)(H,41,42)(H,43,44)(H2,23,25,27)(H2,24,26,28)(H2,36,37,38)/t7-,8-,11-,12-,13-,14-,19-,20-,21?/m1/s1 |
| 国际化学标识检索码 InChIKey |
WJVKFIBTKWVSPQ-GLYJMQRISA-N |
|