Online Database of Chemicals from Around the World

1-(2-硝基)苯基乙基-P(3)-鸟苷酰亚胺二磷酸酯
[CAS# 116271-22-8]

供应商
CAS#: 116271-22-8
产品: 1-(2-硝基)苯基乙基-P(3)-鸟苷酰亚胺二磷酸酯
暂时没有厂家供应该产品。
基本信息
产品名称 1-(2-硝基)苯基乙基-P(3)-鸟苷酰亚胺二磷酸酯
英文名 1-(2-Nitro)Phenylethyl-P(3)-Guanylyl Imidodiphosphate
别名 [[(2R,3S,4R,5R)-5-(2-Amino-6-Oxo-3H-Purin-9-Yl)-3,4-Dihydroxy-Tetrahydrofuran-2-Yl]Methoxy-Hydroxy-Phosphinimyl] [Hydroxy-[1-(2-Nitrophenyl)Ethoxy]Phosphoryl] Hydrogen Phosphate; [[(2R,3S,4R,5R)-5-(2-Amino-6-Oxo-3H-Purin-9-Yl)-3,4-Dihydroxy-2-Tetrahydrofuranyl]Methoxy-Hydroxyphosphinimyl] [Hydroxy-[1-(2-Nitrophenyl)Ethoxy]Phosphoryl] Hydrogen Phosphate; [[(2R,3S,4R,5R)-5-(2-Amino-6-Keto-3H-Purin-9-Yl)-3,4-Dihydroxy-Tetrahydrofuran-2-Yl]Methoxy-Hydroxy-Phosphinimyl] [Hydroxy-[1-(2-Nitrophenyl)Ethoxy]Phosphoryl] Hydrogen Phosphate
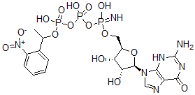
分子结构 CAS 登录号:116271-22-8, 1-(2-硝基)苯基乙基-P(3)-鸟苷酰亚胺二磷酸酯
分子式 C18H24N7O15P3
分子量 671.35
CAS 登录号 116271-22-8
分子行输入简码 SMILES [C@@H]1(O)[C@H](O)[C@H](O[C@H]1[N]2C3=C(N=C2)C(=O)N=C(N3)N)CO[P](O[P](O[P](OC(C4=CC=CC=C4[N+]([O-])=O)C)(O)=O)(O)=O)(O)=N
国际化学标识码 InChI 1S/C18H24N7O15P3/c1-8(9-4-2-3-5-10(9)25(29)30)38-42(32,33)40-43(34,35)39-41(20,31)36-6-11-13(26)14(27)17(37-11)24-7-21-12-15(24)22-18(19)23-16(12)28/h2-5,7-8,11,13-14,17,26-27H,6H2,1H3,(H2,20,31)(H,32,33)(H,34,35)(H3,19,22,23,28)/t8?,11-,13-,14-,17-,41?/m1/s1
国际化学标识检索码 InChIKey XSZNISBTJNZPLS-WSSMKXPZSA-N
物理化学性质
密度 2.22g/cm3 (计算值)
沸点 1012.891°C at 760 mmHg (计算值)
闪点 566.376°C (计算值)
市场分析报告
请浏览1-(2-硝基)苯基乙基-P(3)-鸟苷酰亚胺二磷酸酯市场分析报告总目录
相关产品
N-去甲基依氯那明  N,N-二去甲基依氯那明  2-氯-6-氟-omega-硝基苯乙烯  N-(6-叠氮基-2-甲氧基-9-吖啶基)-N'-...  普那米星酮  兰吡立松  卷柏石松碱  4-(2-羟基乙基)氨基喹啉  4-(2-羟基乙基)氨基-2-甲基喹啉  妥洛帕泛  鸠麻霉素  5-氨基-6-氟-正亮氨酸  千里光酰地蒽酚  乙氧羰基丙酰基地蒽酚  (5-乙酰基-2-甲氧基苯基)乙酸