Online Database of Chemicals from Around the World

苏氨酰(10)-丝氨酰(11)-丙氨酰(12)-精氨酸加压素
[CAS# 115712-78-2]

供应商
CAS#: 115712-78-2
产品: 苏氨酰(10)-丝氨酰(11)-丙氨酰(12)-精氨酸加压素
暂时没有厂家供应该产品。
基本信息
产品名称 苏氨酰(10)-丝氨酰(11)-丙氨酰(12)-精氨酸加压素
英文名 Thr(10)-Ser(11)-Ala(12)-Arginine Vasopressin
别名 Argipressin, Thr(10)-Ser(11)-Ala(12)-; Argipressin, Threonyl(10)-Serinyl(11)-Alanine(12)-; Vasopressin, N-(N-(L-Threonyl-L-Seryl)-L-Alanyl)-8-L-Arginine-
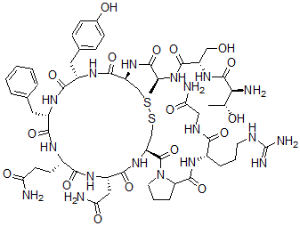
分子结构 CAS 登录号:115712-78-2, 苏氨酰(10)-丝氨酰(11)-丙氨酰(12)-精氨酸加压素
分子式 C56H82N18O17S2
分子量 1343.49
CAS 登录号 115712-78-2
分子行输入简码 SMILES [C@@H](NC(=O)[C@@H](N)[C@@H](C)O)(C(N[C@H](C(N[C@H]2CSSC[C@@H](C(N1C(C(N[C@H](C(NCC(N)=O)=O)CCCNC(N)=N)=O)CCC1)=O)NC([C@@H](NC([C@@H](NC([C@@H](NC([C@@H](NC2=O)CC3=CC=C(C=C3)O)=O)CC4=CC=CC=C4)=O)CCC(N)=O)=O)CC(N)=O)=O)=O)C)=O)CO
国际化学标识码 InChI 1S/C56H82N18O17S2/c1-27(65-51(87)37(24-75)71-54(90)44(60)28(2)76)45(81)72-38-25-92-93-26-39(55(91)74-19-7-11-40(74)53(89)67-32(10-6-18-63-56(61)62)46(82)64-23-43(59)80)73-50(86)36(22-42(58)79)70-47(83)33(16-17-41(57)78)66-48(84)34(20-29-8-4-3-5-9-29)68-49(85)35(69-52(38)88)21-30-12-14-31(77)15-13-30/h3-5,8-9,12-15,27-28,32-40,44,75-77H,6-7,10-11,16-26,60H2,1-2H3,(H2,57,78)(H2,58,79)(H2,59,80)(H,64,82)(H,65,87)(H,66,84)(H,67,89)(H,68,85)(H,69,88)(H,70,83)(H,71,90)(H,72,81)(H,73,86)(H4,61,62,63)/t27-,28+,32-,33-,34-,35-,36-,37-,38-,39-,40?,44-/m0/s1
国际化学标识检索码 InChIKey RNONUHATTFUMGG-HNTDYGRUSA-N
市场分析报告
请浏览苏氨酰(10)-丝氨酰(11)-丙氨酰(12)-精氨酸加压素市场分析报告总目录
相关产品
(2-乙酰氧基-3-羟基丙基) (1R,2S,4a...  (3-乙酰氧基-2-羟基丙基) (1R,2S,4a...  beta-(Z)-白檀油烯醇  2-甲基 1,2,3-三丙-2-烯基丙烷-1,2,...  1,5-二甲基-2-(3-甲基苯基)吡唑-3-酮  (2S)-2-[[4-[(2-氨基-4-氧代-1H...  Trimetaphan Nitroprusside  (8Z)-2-(3,4-二羟基-4,6-二甲基-5...  [(3-甲基吡啶并[3,2-e]苯并咪唑-2-基)...  (2-叔丁基-4-甲基环己基)乙酸酯  Apopolysialoglycoprotein  3',5'-环脱氧腺苷酸  杠柳苷B  [(5R)-2-氧代-3-丙-2-基-1,3-恶唑...  2-氨基-9-[(2R,4S,5R)-4-羟基-5...