Identification
| Name |
Bacillomycin Fc |
| Synonyms |
3-[6,12,22-Tris(2-Amino-2-Oxo-Ethyl)-19-(1-Hydroxyethyl)-9-[(4-Hydroxyphenyl)Methyl]-16-(11-Methyltridecyl)-2,5,8,11,14,18,21,24-Octaoxo-1,4,7,10,13,17,20,23-Octazacyclooctacos-3-Yl]Propanamide; 3-[6,12,22-Tris(2-Amino-2-Keto-Ethyl)-9-(4-Hydroxybenzyl)-19-(1-Hydroxyethyl)-2,5,8,11,14,18,21,24-Octaketo-16-(11-Methyltridecyl)-1,4,7,10,13,17,20,23-Octazacyclooctacos-3-Yl]Propionamide; Bacillomycin Fc |
|
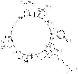
| Molecular Structure |
 |
| Molecular Formula |
C52H84N12O14 |
| Molecular Weight |
1101.31 |
| CAS Registry Number |
115088-47-6 |
| SMILES |
C2=C(CC1NC(=O)C(NC(=O)CC(NC(=O)C(NC(=O)C(NC(=O)CCCCNC(=O)C(NC(=O)C(NC1=O)CC(=O)N)CCC(=O)N)CC(=O)N)C(O)C)CCCCCCCCCCC(CC)C)CC(=O)N)C=CC(=C2)O |
| InChI |
1S/C52H84N12O14/c1-4-30(2)15-11-9-7-5-6-8-10-12-16-33-26-45(72)60-37(27-41(54)68)49(75)62-36(25-32-18-20-34(66)21-19-32)48(74)63-39(29-43(56)70)50(76)61-35(22-23-40(53)67)47(73)57-24-14-13-17-44(71)59-38(28-42(55)69)51(77)64-46(31(3)65)52(78)58-33/h18-21,30-31,33,35-39,46,65-66H,4-17,22-29H2,1-3H3,(H2,53,67)(H2,54,68)(H2,55,69)(H2,56,70)(H,57,73)(H,58,78)(H,59,71)(H,60,72)(H,61,76)(H,62,75)(H,63,74)(H,64,77) |
| InChIKey |
YXKHGFSEIGETSI-UHFFFAOYSA-N |
|