Online Database of Chemicals from Around the World

1,2-二棕榈酰(3,4-叠氮基水杨酰胺基)磷脂酰乙醇胺
[CAS# 114747-15-8]

供应商
CAS#: 114747-15-8
产品: 1,2-二棕榈酰(3,4-叠氮基水杨酰胺基)磷脂酰乙醇胺
暂时没有厂家供应该产品。
基本信息
产品名称 1,2-二棕榈酰(3,4-叠氮基水杨酰胺基)磷脂酰乙醇胺
英文名 1,2-Dipalmitoyl(3,4-Azidosalicylamido)Phosphatidylethanolamine
别名 [1-[[2-[(4-Azido-2-Hydroxy-Benzoyl)Amino]Ethoxy-Hydroxy-Phosphoryl]Oxymethyl]-2-Hexadecanoyloxy-Ethyl] Hexadecanoate; Hexadecanoic Acid [1-[[2-[[(4-Azido-2-Hydroxyphenyl)-Oxomethyl]Amino]Ethoxy-Hydroxyphosphoryl]Oxymethyl]-2-(1-Oxohexadecoxy)Ethyl] Ester; Palmitic Acid [1-[[2-[(4-Azido-2-Hydroxy-Benzoyl)Amino]Ethoxy-Hydroxy-Phosphoryl]Oxymethyl]-2-Hexadecanoyloxy-Ethyl] Ester
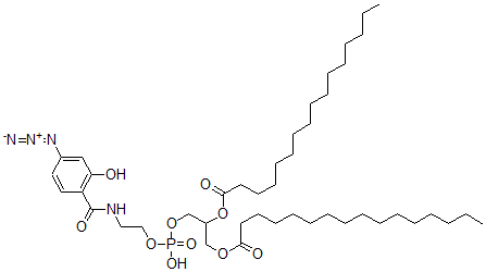
分子结构 CAS 登录号:114747-15-8, 1,2-二棕榈酰(3,4-叠氮基水杨酰胺基)磷脂酰乙醇胺
分子式 C44H77N4O10P
分子量 853.09
CAS 登录号 114747-15-8
分子行输入简码 SMILES [N+](=NC1=CC(=C(C=C1)C(NCCO[P](OCC(OC(=O)CCCCCCCCCCCCCCC)COC(=O)CCCCCCCCCCCCCCC)(=O)O)=O)O)=[N-]
国际化学标识码 InChI 1S/C44H77N4O10P/c1-3-5-7-9-11-13-15-17-19-21-23-25-27-29-42(50)55-36-39(58-43(51)30-28-26-24-22-20-18-16-14-12-10-8-6-4-2)37-57-59(53,54)56-34-33-46-44(52)40-32-31-38(47-48-45)35-41(40)49/h31-32,35,39,49H,3-30,33-34,36-37H2,1-2H3,(H,46,52)(H,53,54)
国际化学标识检索码 InChIKey HVDKSGGZKJJZGU-UHFFFAOYSA-N
市场分析报告
请浏览1,2-二棕榈酰(3,4-叠氮基水杨酰胺基)磷脂酰乙醇胺市场分析报告总目录
相关产品
26-碘松甾酮A  Dextronatrin  2-甲基-6-丙基椭圆玫瑰树碱  补足乙酰基胆碱受体-相关肽  3'-叠氮基-2,6-二氨基嘌呤-2',3'-二脱...  [(2R,3S,5R)-5-(2,6-二氨基嘌呤-...  N-(5-羟基-9H-芴-2-基)乙酰胺  N-[(1S)-2-[4-(3-氨基丙基氨基)丁基...  1-(4-甲基苯基)-2-吡咯烷-1-基戊烷-1-...  (2R,3R,3aR,6E,10E,11aR)-3...  4-[二(3,3-二甲基丁烷-2-基氧基)磷酰]苯...  贝帕泛  2-氨基-9-(3-羟基丙氧基)-3H-嘌呤-6-...  5-[2,2-二(苯基)乙酰基]-4-[(4-甲氧...  N-(3,4-二甲基苯基)脲