Online Database of Chemicals from Around the World

普鲁士蓝A
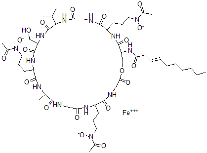
[CAS# 114550-08-2]

供应商
CAS#: 114550-08-2
产品: 普鲁士蓝A
暂时没有厂家供应该产品。
基本信息
产品名称 普鲁士蓝A
英文名 Ferrocin A
别名 Ferric (E)-N-[6,15,27-Tris[3-(Acetyl-Oxido-Amino)Propyl]-18-(Hydroxymethyl)-21-Isopropyl-12-Methyl-2,5,8,11,14,17,20,23,26,29-Decaoxo-1-Oxa-4,7,10,13,16,19,22,25,28-Nonazacyclohentriacont-30-Yl]Dec-3-Enamide; Ferric (E)-N-[6,15,27-Tris[3-(Acetyl-Oxidoamino)Propyl]-18-(Hydroxymethyl)-21-Isopropyl-12-Methyl-2,5,8,11,14,17,20,23,26,29-Decaoxo-1-Oxa-4,7,10,13,16,19,22,25,28-Nonazacyclohentriacont-30-Yl]Dec-3-Enamide; Ferric N-[3-[15,27-Bis[3-(Acetyl-Oxido-Amino)Propyl]-30-[[(E)-Dec-3-Enoyl]Amino]-21-Isopropyl-2,5,8,11,14,17,20,23,26,29-Decaketo-12-Methyl-18-Methylol-1-Oxa-4,7,10,13,16,19,22,25,28-Nonazacyclohentriacont-6-Yl]Propyl]-N-Oxido-Acetamide
分子结构 CAS 登录号:114550-08-2, 普鲁士蓝A
分子式 C51H82FeN13O19
分子量 1237.13
CAS 登录号 114550-08-2
分子行输入简码 SMILES C(O)C1NC(=O)C(NC(=O)CNC(=O)C(NC(=O)C(NC(=O)C\C=C\CCCCCC)COC(=O)CNC(=O)C(NC(=O)CNC(=O)C(NC(=O)C(NC1=O)CCCN([O-])C(=O)C)C)CCCN([O-])C(=O)C)CCCN([O-])C(=O)C)C(C)C.[Fe+3]
国际化学标识码 InChI 1S/C51H82N13O19.Fe/c1-8-9-10-11-12-13-14-21-40(69)57-39-29-83-43(72)27-54-46(74)35(18-15-22-62(80)32(5)66)56-41(70)25-52-45(73)31(4)55-48(76)37(20-17-24-64(82)34(7)68)59-49(77)38(28-65)60-51(79)44(30(2)3)61-42(71)26-53-47(75)36(58-50(39)78)19-16-23-63(81)33(6)67;/h13-14,30-31,35-39,44,65H,8-12,15-29H2,1-7H3,(H,52,73)(H,53,75)(H,54,74)(H,55,76)(H,56,70)(H,57,69)(H,58,78)(H,59,77)(H,60,79)(H,61,71);/q-3;+3/b14-13+;
国际化学标识检索码 InChIKey NFEHNCXMXVNUPC-IERUDJENSA-N
市场分析报告
请浏览普鲁士蓝A市场分析报告总目录
相关产品
2''-(腺苷-5'-磷酰)妥布霉素  氯(甘氨酰酸基)(1,10-菲咯啉)铜(II)  水合(1,10-菲咯啉)(苯基丙氨酸)铜(II)  7-溴庚酰苏氨酸磷酸酯  [(E)-3-[3-(乙酰氧基甲基)-5-甲氧基-...  [(E)-3-[5-甲氧基-3-(甲氧羰基氧基甲基...  [(E)-3-[3-(乙酰氧基甲基)-5-氮丙啶-...  1-(2-氯乙基)-1-亚硝基-3-(4-硫代吗啉...  肉桂酰胺基-2-甲基-5-氧代庚酰-脯氨酰-精氨酸  4-(2-琥珀酰亚胺基乙硫基)苯基4-胍基苯甲酸酯  Tunichlorin  3-(谷胱甘肽-S-基)-1,4-萘醌  6,7-环氧坎利酮  (1aS,3S,8R,9S,9aS)-1-乙酰基-...  Triticone A