Online Database of Chemicals from Around the World

N,N-二乙基-N-甲基乙铵甲基碳酸酯
[CAS# 113840-08-7]

供应商
Achemica 瑞士 询价快递  
+41 (24) 466-2929
contact@achemica.com
化学品生产商(2010 年起)
Alfa Chemistry 美国 询价快递  
+1 (201) 478-8534
inquiry@alfa-chemistry.com
化学品供销商(2012 年起)
BOC Sciences 美国 询价快递  
+1 (631) 485-4226
info@bocsci.com
Skype 聊天
化学品供销商
chemBlink 集群供应商(2012 年起)
Santa Cruz Biotechnology, Inc. 美国 询价快递  
+1 (831) 457-3800
scbt@scbt.com
化学品生产商
Sigma-Aldrich, Inc. 美国 询价快递  
+86 (21) 6141-5566 / 800-819-3336
ordercn@sial.com,
化学品生产商(1992 年起)
基本信息
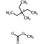
产品名称 N,N-二乙基-N-甲基乙铵甲基碳酸酯
英文名 N,N-Diethyl-N-Methylethanaminium Methyl Carbonate
别名 Methyltriethylammonium methyl carbonate; Triethylmethylammonium methyl carbonate solution
分子结构 CAS 登录号:113840-08-7, N,N-二乙基-N-甲基乙铵甲基碳酸酯
分子式 C9H21NO3
分子量 191.27
CAS 登录号 113840-08-7
分子行输入简码 SMILES CC[N+](C)(CC)CC.[O-]C(=O)OC
国际化学标识码 InChI 1S/C7H18N.C2H4O3/c1-5-8(4,6-2)7-3;1-5-2(3)4/h5-7H2,1-4H3;1H3,(H,3,4)/q+1;/p-1
国际化学标识检索码 InChIKey VTQIDJHZYPEFBP-UHFFFAOYSA-M
物理化学性质
折射率 (计算值)
市场分析报告
请浏览N,N-二乙基-N-甲基乙铵甲基碳酸酯市场分析报告总目录
相关产品
乙基5-环己基-3-甲基-1,2-恶唑-4-羧酸酯  [3-甲基-5-(4-甲基苯基)-1,2-恶唑-4...  [5-(4-甲氧基苯基)-3-甲基-1,2-恶唑-...  [5-(3,4-二甲基苯基)-3-甲基-1,2-恶...  1,6-二氢-5H-吡咯并[2,3-d]嘧啶-5-...  4-羟基-5-硝基-2-糠醛  甲基 2-甲基-2-丙基 (2S)-氨基(4-碘苄...  (4Z)-3-甲基-4-庚烯-2-酮  (4E)-3-甲基-4-庚烯-2-酮  乙基5-氰基-2-苯基-6-硫代-1,6-二氢-3...  乙腈;1,2,3,4,5-五甲基环戊烷;钌(+2)...  叔-丁基N-[2-[[(1S)-4-胍基-1-[[...  叔-丁基N-[(1S)-4-氨基-1-[[(1S)...  4-苯氧基-1,2-苯二酚  2,5,6,7-四氢-4H-异吲哚-4-酮