基本信息
| 产品名称 |
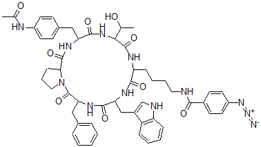
环(苯丙氨酰-(4-乙酰氨基)苏氨酰-赖氨酰-(4-叠氮基苯甲酰基)色氨酰-苯丙氨酰-脯氨酰) |
| 英文名 |
Cyclo(phenylalanyl-(4-acetylamino)threonyl-lysyl-(4-azidobenzoyl)tryptophyl-phenylalanyl-prolyl) |
| 别名 |
N-[4-[15-[(4-Acetamidophenyl)Methyl]-12-(1-Hydroxyethyl)-6-(1H-Indol-3-Ylmethyl)-2,5,8,11,14,17-Hexaoxo-3-(Phenylmethyl)-1,4,7,10,13,16-Hexazabicyclo[16.3.0]Henicosan-9-Yl]Butyl]-4-Azido-Benzamide; N-[4-[15-(4-Acetamidobenzyl)-3-(Benzyl)-12-(1-Hydroxyethyl)-6-(1H-Indol-3-Ylmethyl)-2,5,8,11,14,17-Hexaketo-1,4,7,10,13,16-Hexazabicyclo[16.3.0]Henicosan-9-Yl]Butyl]-4-Azido-Benzamide; Azidobenzamido 008 |
|
| 分子结构 |
 |
| 分子式 |
C53H60N12O9 |
| 分子量 |
1009.13 |
| CAS 登录号 |
113400-63-8 |
| 分子行输入简码 SMILES |
[N+](=NC7=CC=C(C(=O)NCCCCC1NC(=O)C(NC(=O)C(NC(=O)C5N(C(=O)C(NC(=O)C(NC1=O)CC2=C[NH]C3=C2C=CC=C3)CC4=CC=CC=C4)CCC5)CC6=CC=C(NC(=O)C)C=C6)C(O)C)C=C7)=[N-] |
| 国际化学标识码 InChI |
1S/C53H60N12O9/c1-31(66)46-52(73)58-41(15-8-9-25-55-47(68)35-19-23-38(24-20-35)63-64-54)48(69)59-43(29-36-30-56-40-14-7-6-13-39(36)40)49(70)61-44(28-33-11-4-3-5-12-33)53(74)65-26-10-16-45(65)51(72)60-42(50(71)62-46)27-34-17-21-37(22-18-34)57-32(2)67/h3-7,11-14,17-24,30-31,41-46,56,66H,8-10,15-16,25-29H2,1-2H3,(H,55,68)(H,57,67)(H,58,73)(H,59,69)(H,60,72)(H,61,70)(H,62,71) |
| 国际化学标识检索码 InChIKey |
MCRDZKUHIMEOGV-UHFFFAOYSA-N |
|