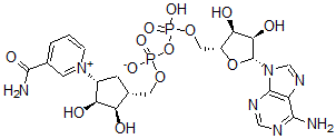
Identification
| Name |
Carbanicotinamide adenine dinucleotide |
| Synonyms |
[[(2R,3S,4R,5R)-5-(6-Aminopurin-9-Yl)-3,4-Dihydroxy-Tetrahydrofuran-2-Yl]Methoxy-Hydroxy-Phosphoryl] [(1R,2R,3S,4R)-4-(3-Carbamoylpyridin-1-Ium-1-Yl)-2,3-Dihydroxy-Cyclopentyl]Methyl Phosphate; [[(2R,3S,4R,5R)-5-(6-Amino-9-Purinyl)-3,4-Dihydroxy-2-Tetrahydrofuranyl]Methoxy-Hydroxyphosphoryl] [(1R,2R,3S,4R)-4-(3-Carbamoyl-1-Pyridin-1-Iumyl)-2,3-Dihydroxycyclopentyl]Methyl Phosphate; [(1R,2R,3S,4R)-4-(3-Aminocarbonylpyridin-1-Ium-1-Yl)-2,3-Dihydroxy-Cyclopentyl]Methyl [[(2R,3S,4R,5R)-5-(6-Aminopurin-9-Yl)-3,4-Dihydroxy-Oxolan-2-Yl]Methoxy-Hydroxy-Phosphoryl] Phosphate |
|
| Molecular Structure |
 |
| Molecular Formula |
C22H29N7O13P2 |
| Molecular Weight |
661.46 |
| CAS Registry Number |
112345-60-5 |
| SMILES |
[C@H]1(O[C@@H]([C@@H](O)[C@H]1O)CO[P](O[P](OC[C@@H]3[C@@H](O)[C@@H](O)[C@H]([N+]2=CC(=CC=C2)C(=O)N)C3)([O-])=O)(=O)O)[N]4C5=C(N=C4)C(=NC=N5)N |
| InChI |
1S/C22H29N7O13P2/c23-19-14-21(26-8-25-19)29(9-27-14)22-18(33)17(32)13(41-22)7-40-44(37,38)42-43(35,36)39-6-11-4-12(16(31)15(11)30)28-3-1-2-10(5-28)20(24)34/h1-3,5,8-9,11-13,15-18,22,30-33H,4,6-7H2,(H5-,23,24,25,26,34,35,36,37,38)/t11-,12-,13-,15-,16+,17-,18-,22-/m1/s1 |
| InChIKey |
DGPLSUKWXXSBCU-VGXGLJSLSA-N |
|