基本信息
| 产品名称 |
12-硅钼蓝水合物 |
| 英文名 |
12-Molybdosilicic acid hydrate |
| 别名 |
12-MOLYBDOSILICICACIDHYDRATE; Silicomolybdic acid hydrate; 383368_ALDRICH |
|
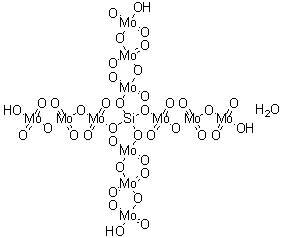
| 分子结构 |
 |
| 分子式 |
H6Mo12O41Si |
| 分子量 |
1841.39 |
| CAS 登录号 |
11089-20-6 |
| 分子行输入简码 SMILES |
O.O=[Mo](=O)(O[Si](O[Mo](=O)(=O)O[Mo](=O)(=O)O[Mo](O)(=O)=O)(O[Mo](=O)(=O)O[Mo](=O)(=O)O[Mo](O)(=O)=O)O[Mo](=O)(=O)O[Mo](=O)(=O)O[Mo](O)(=O)=O)O[Mo](=O)(=O)O[Mo](O)(=O)=O |
| 国际化学标识码 InChI |
1S/12Mo.O4Si.5H2O.32O/c;;;;;;;;;;;;1-5(2,3)4;;;;;;;;;;;;;;;;;;;;;;;;;;;;;;;;;;;;;/h;;;;;;;;;;;;;5*1H2;;;;;;;;;;;;;;;;;;;;;;;;;;;;;;;;/q;;;;8*+1;-4;;;;;;;;;;;;;;;;;;;;;;;;;;;;;;;;;;;;;/p-4 |
| 国际化学标识检索码 InChIKey |
IDTGEYOTLWPSGZ-UHFFFAOYSA-J |
|