Online Database of Chemicals from Around the World

寡子菌素
[CAS# 110882-81-0]

供应商
CAS#: 110882-81-0
产品: 寡子菌素
暂时没有厂家供应该产品。
基本信息
产品名称 寡子菌素
英文名 Parvodicin
别名 Parvodicin A; Parvodicin B1; Parvodicin B2
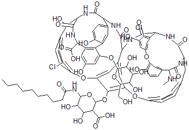
分子结构 CAS 登录号:110882-81-0, 寡子菌素
分子式 C81H84Cl2N8O29
分子量 1704.50
CAS 登录号 110882-81-0
分子行输入简码 SMILES N5C7C(NC1C(NC%10C(NC(C(C9=CC(=C(OC2=CC1=CC(=C2OC3C(C(C(C(O3)NC(=O)CCCCCCCCC)O)O)C(O)=O)OC4=CC=C(C=C4)CC(C5=O)NC(C(C6=CC(=C(C=C6)O)OC8=CC7=C(C(=C8)O)Cl)NC)=O)C=C9)Cl)O)C(NC(C%12=C(C%11=CC%10=CC=C%11O)C(=CC(=C%12)O)OC%13OC(C(C(C%13O)O)O)CO)C(O)=O)=O)=O)=O)=O
国际化学标识码 InChI 1S/C81H84Cl2N8O29/c1-3-4-5-6-7-8-9-10-54(97)86-77-68(102)66(100)56(78(110)111)80(120-77)119-70-51-25-36-26-52(70)116-48-20-15-35(23-43(48)82)64(98)63-76(109)90-62(79(112)113)41-27-37(93)28-50(117-81-69(103)67(101)65(99)53(31-92)118-81)55(41)40-22-33(13-18-45(40)94)59(73(106)91-63)87-74(107)60(36)88-75(108)61-42-29-39(30-47(96)57(42)83)115-49-24-34(14-19-46(49)95)58(84-2)72(105)85-44(71(104)89-61)21-32-11-16-38(114-51)17-12-32/h11-20,22-30,44,53,56,58-69,77,80-81,84,92-96,98-103H,3-10,21,31H2,1-2H3,(H,85,105)(H,86,97)(H,87,107)(H,88,108)(H,89,104)(H,90,109)(H,91,106)(H,110,111)(H,112,113)
国际化学标识检索码 InChIKey NEBIDXWQDNKSQS-UHFFFAOYSA-N
物理化学性质
密度 1.68g/cm3 (计算值)
市场分析报告
请浏览寡子菌素市场分析报告总目录
相关产品
(1S,2S)-3-氨基-1-(2-氨基-3H-咪...  (2R)-1-(3-甲基苯氧基)-3-哌嗪-1,4...  2-[[5-叔-丁基-2-(二甲基氨基甲酰)-1,...  (2R,4S)-2,4,5-三羟基-3,4-二氢-...  (2R,4S)-2,4,8-三羟基-3,4-二氢-...  2-[(1S,2R)-2-(二丙基氨基)环丙基]苯...  3-[(1S,2R)-2-(二丙基氨基)环丙基]苯...  (E)-4-二乙氧基磷酰丁-2-烯醛  1,3,5-三嗪烷  灰青斑鸠菊内酯B  灰青斑鸠菊内酯A  二(2,6-脱水-1-硫代-甘油-甘露-庚糖醇 1...  2,6-脱水-S-(乙基汞(II))-1-硫代-甘...  6-氨基-1-[(2S,4S,5R)-4-羟基-5...  6-氨基-1-[(2R,3S,4S,5R)-3,4...