|
CAS#: 109064-94-0 Product: 1-Desamino-(4-Azidobenzoyl)Lys(7)-Arg(8)-Vasotocin No suppilers available for the product. |
| Name | 1-Desamino-(4-Azidobenzoyl)Lys(7)-Arg(8)-Vasotocin |
|---|---|
| Synonyms | Vasotocin, 1-Deamino-(4-Azidobenzoyl)Lysyl(7)-Arginine(8)-; Vasotocin, 1-Desamino-(4-Azidobenzoyl)Lys(7)-Arg(8)-; D7-N3-Avt |
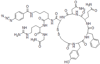
| Molecular Structure | ![]() |
| Molecular Formula | C54H72N18O13S2 |
| Molecular Weight | 1245.40 |
| CAS Registry Number | 109064-94-0 |
| SMILES | [N+](=NC4=CC=C(C(NCCCCC(NC(=O)C2NC(C(CC(N)=O)NC(C(CCC(N)=O)NC(C(NC(C(CC1=CC=C(C=C1)O)NC(CCSSC2)=O)=O)CC3=CC=CC=C3)=O)=O)=O)C(=O)NC(C(NCC(N)=O)=O)CCCNC(N)=N)=O)C=C4)=[N-] |
| InChI | 1S/C54H72N18O13S2/c55-42(74)20-19-37-49(81)69-40(27-43(56)75)52(84)70-41(29-87-86-24-21-45(77)64-38(26-31-11-17-34(73)18-12-31)50(82)68-39(51(83)67-37)25-30-7-2-1-3-8-30)53(85)66-36(9-4-5-22-61-46(78)32-13-15-33(16-14-32)71-72-60)48(80)65-35(10-6-23-62-54(58)59)47(79)63-28-44(57)76/h1-3,7-8,11-18,35-41,73H,4-6,9-10,19-29H2,(H2,55,74)(H2,56,75)(H2,57,76)(H,61,78)(H,63,79)(H,64,77)(H,65,80)(H,66,85)(H,67,83)(H,68,82)(H,69,81)(H,70,84)(H4,58,59,62) |
| InChIKey | UKZSKISVPBZZOE-UHFFFAOYSA-N |
| Market Analysis Reports |
| List of Reports Available for 1-Desamino-(4-Azidobenzoyl)Lys(7)-Arg(8)-Vasotocin |