Online Database of Chemicals from Around the World

Obelmycin D
[CAS# 107807-17-0]

供应商
CAS#: 107807-17-0
产品: Obelmycin D
暂时没有厂家供应该产品。
基本信息
产品名称 Obelmycin D
英文名 Obelmycin D
别名 7,10-Bis[[4-Dimethylamino-5-[4-Hydroxy-5-(5-Hydroxy-6-Methyl-Tetrahydropyran-2-Yl)Oxy-6-Methyl-Tetrahydropyran-2-Yl]Oxy-6-Methyl-Tetrahydropyran-2-Yl]Oxy]-9-Ethyl-1,4,6,9,11-Pentahydroxy-8,10-Dihydro-7H-Tetracene-5,12-Dione; 7,10-Bis[[4-Dimethylamino-5-[[4-Hydroxy-5-[(5-Hydroxy-6-Methyl-2-Tetrahydropyranyl)Oxy]-6-Methyl-2-Tetrahydropyranyl]Oxy]-6-Methyl-2-Tetrahydropyranyl]Oxy]-9-Ethyl-1,4,6,9,11-Pentahydroxy-8,10-Dihydro-7H-Tetracene-5,12-Dione; 7,10-Bis[[4-Dimethylamino-5-[4-Hydroxy-5-(5-Hydroxy-6-Methyl-Tetrahydropyran-2-Yl)Oxy-6-Methyl-Tetrahydropyran-2-Yl]Oxy-6-Methyl-Tetrahydropyran-2-Yl]Oxy]-9-Ethyl-1,4,6,9,11-Pentahydroxy-8,10-Dihydro-7H-Tetracene-5,12-Quinone
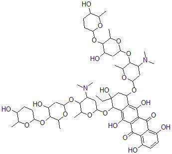
分子结构 CAS 登录号:107807-17-0, Obelmycin D
分子式 C60H88N2O23
分子量 1205.35
CAS 登录号 107807-17-0
分子行输入简码 SMILES C%10=CC(=C9C(=O)C1=C(C(=C5C(=C1O)C(OC4OC(C(OC3OC(C(OC2OC(C(O)CC2)C)C(O)C3)C)C(N(C)C)C4)C)CC(O)(C5OC8OC(C(OC7OC(C(OC6OC(C(O)CC6)C)C(O)C7)C)C(N(C)C)C8)C)CC)O)C(=O)C9=C%10O)O
国际化学标识码 InChI 1S/C60H88N2O23/c1-12-60(73)23-38(80-41-19-30(61(8)9)55(26(4)76-41)83-43-21-36(67)57(28(6)78-43)81-39-17-15-32(63)24(2)74-39)47-50(54(72)49-48(53(47)71)51(69)45-34(65)13-14-35(66)46(45)52(49)70)59(60)85-42-20-31(62(10)11)56(27(5)77-42)84-44-22-37(68)58(29(7)79-44)82-40-18-16-33(64)25(3)75-40/h13-14,24-33,36-44,55-59,63-68,71-73H,12,15-23H2,1-11H3
国际化学标识检索码 InChIKey NWSULKNDMBRCNS-UHFFFAOYSA-N
物理化学性质
密度 1.445g/cm3 (计算值)
市场分析报告
请浏览Obelmycin D市场分析报告总目录
相关产品
Obelmycin A  10-(4-二甲基氨基-5-羟基-6-甲基四氢吡喃...  4-(4-二甲基氨基-5-羟基-6-甲基四氢吡喃-...  Epelmycin C  Epelmycin B  4-[4-二甲基氨基-6-甲基-5-[6-甲基-5...  (2S)-N-[(2S)-2-氨基-3-[3-(1...  (2S)-N-[(2S)-1-[[(2S)-1-[...  4-甲基戊基2-氰基丙-2-烯酸酯  Guayulin-C  Guayulin D  Preproatrial Natriuretic ...  4,9-二羟基-6,7-二甲氧基苯并[f][1,3...  2'-脱氧腺苷酰-(5'-3')-2'-脱氧-5'...  10-[4-二甲基氨基-5-[4-羟基-5-(5-...