Online Database of Chemicals from Around the World

Nt1 羟基茜草素
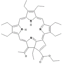
[CAS# 107634-78-6]

供应商
CAS#: 107634-78-6
产品: Nt1 羟基茜草素
暂时没有厂家供应该产品。
基本信息
产品名称 Nt1 羟基茜草素
英文名 NT1 Purpurin
别名 Nt-1 Purpurin; Nt1 Purpurin; Purpurin Nt 1
分子结构 CAS 登录号:107634-78-6, Nt1 羟基茜草素
分子式 C41H50N4O2
分子量 630.87
CAS 登录号 107634-78-6
分子行输入简码 SMILES C(C3\6C2=NC(=CC1=C(C(=C([NH]1)C=C5[NH]C(=CC4=NC(=C2C=C3C(OCC)=O)C(=C4CC)CC)C(=C5CC)CC)CC)CC)C6=C\C)C
国际化学标识码 InChI 1S/C41H50N4O2/c1-10-23-24(11-2)34-21-36-27(14-5)28(15-6)38(44-36)29-19-31(40(46)47-18-9)41(17-8)30(16-7)37(45-39(29)41)22-35-26(13-4)25(12-3)33(43-35)20-32(23)42-34/h16,19-22,42-43H,10-15,17-18H2,1-9H3/b30-16+,32-20?,33-20?,34-21?,35-22?,36-21?,37-22?,38-29?
国际化学标识检索码 InChIKey JYWCFWULTDBGGN-LCGSHCTISA-N
市场分析报告
请浏览Nt1 羟基茜草素市场分析报告总目录
相关产品
2,4-二硝基-3-苯基-戊烷二腈化合物与2,2-...  3-氨基-2,5-二氯苯甲酸铵  7,8,9-三羟基-3,5-二氧代-1,2-二氢环...  (3S,8S,9S,10R,13R,14S,17R...  2-甲氧基-6-[(E)-丙-1-烯基]苯酚  (5Z,7E,9S,11Z,14Z)-20-氟-9...  L-色氨酰-L-alpha-谷氨酰-L-丙氨酰-L...  6,7-二甲基-1,2,3,4-四氢萘  萘-1-基甲硫醇  5,6,7,8,9,10-六氢苯并[8]环轮烯  2-甲基磺酰基腺嘌呤基钴胺酰胺  3-甲基-5-(2-甲基丙基)-2-巯基咪唑烷-4...  (苯基氨基)-苯基亚胺甲烷磺酸  2-甲基亚磺酰腺嘌呤基钴胺酰胺  2-(4-甲氧基苯基)-2-氧代乙醛