Online Database of Chemicals from Around the World

4,5,6,7,8-五羟基-2-氧代辛酸
[CAS# 1069-03-0]

供应商
CAS#: 1069-03-0
产品: 4,5,6,7,8-五羟基-2-氧代辛酸
暂时没有厂家供应该产品。
基本信息
产品名称 4,5,6,7,8-五羟基-2-氧代辛酸
英文名 4,5,6,7,8-Pentahydroxy-2-Oxooctanoic Acid
别名 4,5,6,7,8-Pentahydroxy-2-Oxo-Octanoic Acid; 4,5,6,7,8-Pentahydroxy-2-Keto-Caprylic Acid; 2-Dehydro-3-Deoxy-D-Octonate
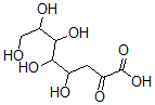
分子结构 CAS 登录号:1069-03-0, 4,5,6,7,8-五羟基-2-氧代辛酸
分子式 C8H14O8
分子量 238.19
CAS 登录号 1069-03-0
分子行输入简码 SMILES C(C(C(C(C(CO)O)O)O)O)C(C(O)=O)=O
国际化学标识码 InChI 1S/C8H14O8/c9-2-5(12)7(14)6(13)3(10)1-4(11)8(15)16/h3,5-7,9-10,12-14H,1-2H2,(H,15,16)
国际化学标识检索码 InChIKey KYQCXUMVJGMDNG-UHFFFAOYSA-N
物理化学性质
密度 1.685g/cm3 (计算值)
沸点 621.688°C at 760 mmHg (计算值)
闪点 343.799°C (计算值)
市场分析报告
请浏览4,5,6,7,8-五羟基-2-氧代辛酸市场分析报告总目录
相关产品
[8-[2-(4-羟基-6-氧代四氢吡喃-2-基)...  3-十二烷基-1-(1,2,2,6,6-五甲基哌啶...  1-(1-乙酰基-2,2,6,6-四甲基哌啶-4-...  2-乙基己酰基2-乙基过氧己酸酯  9-氧代-9-(1-苯基乙基氨基)壬酸  2-苯基亚硒酰基乙胺  2,5-二氨基己二酸  半胱氨酰-胸腺生成素(28-39)  10-[2-(1-甲基哌啶-2-基)乙基]-2-甲...  2-[(4-氨基-3-碘苯基)甲基]胍  (2R)-2-氨基-3-[2-(2-氨基-6-氧代...  [(2S,3S)-3-(4-溴苯基)环氧乙烷-2-...  2,4-二氧代丁酸  2,3,5-三甲基己烷  二(3-甲基丁烷-2-基)硼烷