Online Database of Chemicals from Around the World

(13C,2H3)甲烷氯化铵
[CAS# 104809-19-0]

供应商
Alsachim SAS 法国 询价快递  
+33 (368) 240-080
contact@alsachim.com
化学品生产商
Santa Cruz Biotechnology, Inc. 美国 询价快递  
+1 (831) 457-3800
scbt@scbt.com
化学品生产商
基本信息
产品名称 (13C,2H3)甲烷氯化铵
英文名 (13C,2H3)Methanaminium Chloride
别名 Methyl-13C,d3-amine hydrochloride; 296007_ALDRICH
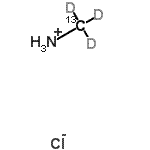
分子结构 CAS 登录号:104809-19-0, (<sup>13</sup>C,<sup>2</sup>H<sub>3</sub>)甲烷氯化铵
分子式 13CH3D3ClN
分子量 71.53
CAS 登录号 104809-19-0
分子行输入简码 SMILES C[NH3+].[Cl-]
国际化学标识码 InChI 1S/CH5N.ClH/c1-2;/h2H2,1H3;1H/i1+1D3;
国际化学标识检索码 InChIKey NQMRYBIKMRVZLB-SPZGMPHYSA-N
物理化学性质
折射率 (计算值)
安全数据
SDS 化学品安全技术说明书参考文本
市场分析报告
请浏览(13C,2H3)甲烷氯化铵市场分析报告总目录
相关产品
锂;[[[(2R,3S,4R,5R)-5-(6-氨...  2-硝基苯基硬脂酸酯  腺苷5'-(三氢二磷酸酯),P'-5'-酯与3-羧...  [5-(6-氨基嘌呤-9-基)-3,4-二羟基-四...  肌苷5'-(三氢二磷酸酯),P'-5'-酯与3-(...  2-氯-4-甲氧基苯酚  (4E)-2,5-二氯-4-(4,6-二氨基-1,...  甲基2-(1-哌嗪基)烟酸酯  1-(1H-吡咯-1-基)-2-丙醇  2-氯-1-(2-甲基-3-环己烯-1-基)乙酮  3-乙烯氧基吡啶  N,N-二甲基-3-(2-吡啶基硫基)-1-丙胺  6-[(羟基硫基)羰基]-2-吡啶羧酸  3-(氰基甲基)-4-硝基苯甲酸  4-(氰基甲基)-3-硝基苯甲酸