Online Database of Chemicals from Around the World

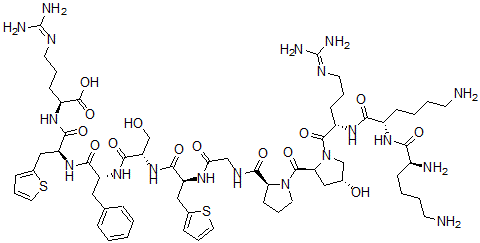
L-赖氨酰-L-赖氨酰-L-精氨酰-(4R)-4-羟基-L-脯氨酰-L-脯氨酰甘氨酰-3-(2-噻吩基)-L-丙氨酰-L-丝氨酰-D-苯丙氨酰-3-(2-噻吩基)-L-丙氨酰-L-精氨酸
[CAS# 103412-37-9]

基本信息
产品名称 L-赖氨酰-L-赖氨酰-L-精氨酰-(4R)-4-羟基-L-脯氨酰-L-脯氨酰甘氨酰-3-(2-噻吩基)-L-丙氨酰-L-丝氨酰-D-苯丙氨酰-3-(2-噻吩基)-L-丙氨酰-L-精氨酸
英文名 L-Lysyl-L-lysyl-L-arginyl-(4R)-4-hydroxy-L-prolyl-L-prolylglycyl-3-(2-thienyl)-L-alanyl-L-seryl-D-phenylalanyl-3-(2-thienyl)-L-alanyl-L-Arginine
别名 [(2R)-2-[[(2S)-2-[[(2S)-2-Amino-3-(2-Thienyl)Propanoyl]Amino]-3-Hydroxy-Propanoyl]Amino]-3-Phenyl-Propanoyl] (2R,4S)-4-[[(2S)-6-Amino-2-[[(2S)-2,6-Diaminohexanoyl]Amino]Hexanoyl]Amino]-2-[[(2S)-2-Amino-3-(4-Hydroxy-2-Thienyl)Propanoyl]-[2-[[(2S)-1-[(2S)-Pyrrolidine-2-Carbonyl]Pyrrolidine-2-Carbonyl]Amino]Acetyl]Amino]-7-Guanidino-2-(3-Guanidinopropyl)-3-Oxo-Heptanoate; (2R,4S)-4-[[(2S)-6-Amino-2-[[(2S)-2,6-Diamino-1-Oxohexyl]Amino]-1-Oxohexyl]Amino]-2-[[(2S)-2-Amino-3-(4-Hydroxy-2-Thienyl)-1-Oxopropyl]-[1-Oxo-2-[[Oxo-[(2S)-1-[Oxo-[(2S)-2-Pyrrolidinyl]Methyl]-2-Pyrrolidinyl]Methyl]Amino]Ethyl]Amino]-7-Guanidino-2-(3-Guanidinopropyl)-3-Oxoheptanoic Acid [(2R)-2-[[(2S)-2-[[(2S)-2-Amino-1-Oxo-3-(2-Thienyl)Propyl]Amino]-3-Hydroxy-1-Oxopropyl]Amino]-1-Oxo-3-Phenylpropyl] Ester; (2R,4S)-4-[[(2S)-6-Amino-2-[[(2S)-2,6-Diaminohexanoyl]Amino]Hexanoyl]Amino]-2-[[(2S)-2-Amino-3-(4-Hydroxy-2-Thienyl)Propanoyl]-[2-[[(2S)-1-Prolylpyrrolidine-2-Carbonyl]Amino]Acetyl]Amino]-7-Guanidino-2-(3-Guanidinopropyl)-3-Keto-Enanthic Acid [(2R)-2-[[(2S)-2-[[(2S)-2-Amino-3-(2-Thienyl)Propanoyl]Amino]-3-Hydroxy-Propanoyl]Amino]-3-Phenyl-Propanoyl] Ester
分子结构 CAS 登录号:103412-37-9, L-赖氨酰-L-赖氨酰-L-精氨酰-(4R)-4-羟基-L-脯氨酰-L-脯氨酰甘氨酰-3-(2-噻吩基)-L-丙氨酰-L-丝氨酰-D-苯丙氨酰-3-(2-噻吩基)-L-丙氨酰-L-精氨酸
分子式 C62H95N19O14S2
分子量 1394.67
CAS 登录号 103412-37-9
分子行输入简码 SMILES [C@@H]1(N(CCC1)C(=O)[C@H]2NCCC2)C(=O)NCC(=O)N([C@](CCCN=C(N)N)(C(=O)[C@@H](NC(=O)[C@@H](NC(=O)[C@@H](N)CCCCN)CCCCN)CCCN=C(N)N)C(OC(=O)[C@H](NC(=O)[C@@H](NC(=O)[C@@H](N)CC3=CC=CS3)CO)CC4=CC=CC=C4)=O)C(=O)[C@@H](N)CC5=CC(=CS5)O
国际化学标识码 InChI 1S/C62H95N19O14S2/c63-22-6-4-16-40(65)51(86)77-44(17-5-7-23-64)53(88)76-43(18-8-25-73-60(68)69)50(85)62(21-12-26-74-61(70)71,59(94)95-58(93)46(29-36-13-2-1-3-14-36)78-54(89)47(34-82)79-52(87)41(66)31-38-15-11-28-96-38)81(56(91)42(67)32-39-30-37(83)35-97-39)49(84)33-75-55(90)48-20-10-27-80(48)57(92)45-19-9-24-72-45/h1-3,11,13-15,28,30,35,40-48,72,82-83H,4-10,12,16-27,29,31-34,63-67H2,(H,75,90)(H,76,88)(H,77,86)(H,78,89)(H,79,87)(H4,68,69,73)(H4,70,71,74)/t40-,41-,42-,43-,44-,45-,46+,47-,48-,62+/m0/s1
国际化学标识检索码 InChIKey HKNHKCVEWPZUNK-SZNSIZNJSA-N
物理化学性质
密度 1.52g/cm3 (计算值)
市场分析报告
请浏览L-赖氨酰-L-赖氨酰-L-精氨酰-(4R)-4-羟基-L-脯氨酰-L-脯氨酰甘氨酰-3-(2-噻吩基)-L-丙氨酰-L-丝氨酰-D-苯丙氨酰-3-(2-噻吩基)-L-丙氨酰-L-精氨酸市场分析报告总目录
相关产品
O3-乙基O5-甲基2-(咪唑-1-基甲基)-6-...  3-苯基噻吩-2-羧酸酯  乙酰氧基-(苯基甲基)汞  (8S,9S,13S,14S,17S)-1-氟-1...  4-[2-(4,5-二氢-1H-咪唑-2-基)-1...  4-(5-苯基-2,3,6,7-四氢吡咯并[1,5...  N-[(3S)-1-甲基-2-氧代-5-苯基-3H...  (E)-二十四碳-17-烯醛  1-异氰酸-4-[2-(4-异氰酸苯基)乙基]苯  N-苄基-N-[3-(2-甲基丙氧基)-2-(1-...  2-甲酰基环丙烷-1-羧酸  Leucanthanolide  1-硝基-4-丙基苯  1-[(2R,3S,4S,5R)-3,4-二羟基-...  1,2,3,5,7,8-六氯萘