Online Database of Chemicals from Around the World

4-O-Acetyl-21-O-De(Aminocarbonyl)-27-Demethoxy-4-O,23,26-Tridemethyl-6-Deoxo-25-Deoxy-6-(2,3-Dimethoxy-1-Oxopropoxy)-27-Methyl-25-Oxokabiramide C
[CAS# 100045-74-7]

Suppliers
CAS#: 100045-74-7
Product: 4-O-Acetyl-21-O-De(Aminocarbonyl)-27-Demethoxy-4-O,23,26-Tridemethyl-6-Deoxo-25-Deoxy-6-(2,3-Dimethoxy-1-Oxopropoxy)-27-Methyl-25-Oxokabiramide C
No suppilers available for the product.
Identification
Name 4-O-Acetyl-21-O-De(Aminocarbonyl)-27-Demethoxy-4-O,23,26-Tridemethyl-6-Deoxo-25-Deoxy-6-(2,3-Dimethoxy-1-Oxopropoxy)-27-Methyl-25-Oxokabiramide C
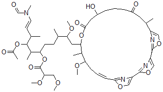
Molecular Structure CAS#: 100045-74-7, 4-O-Acetyl-21-O-De(Aminocarbonyl)-27-Demethoxy-4-O,23,26-Tridemethyl-6-Deoxo-25-Deoxy-6-(2,3-Dimethoxy-1-Oxopropoxy)-27-Methyl-25-Oxokabiramide C
Molecular Formula C51H74N4O16
Molecular Weight 999.16
CAS Registry Number 100045-74-7
SMILES C(C4OC(=O)CC(O)CCCC(=O)CC(C1=COC(=N1)C2=COC(=N2)C3=COC(=N3)\C=C/CC(OC)C4C)C)C(OC)C(CCC(OC(=O)C(OC)COC)C(C(OC(=O)C)C(\C=C\N(C=O)C)C)C)C
InChI 1S/C51H74N4O16/c1-30(18-19-42(71-51(61)45(65-11)28-62-8)34(5)48(69-35(6)57)31(2)20-21-55(7)29-56)43(64-10)24-44-33(4)41(63-9)16-13-17-46-52-39(26-66-46)49-54-40(27-68-49)50-53-38(25-67-50)32(3)22-36(58)14-12-15-37(59)23-47(60)70-44/h13,17,20-21,25-27,29-34,37,41-45,48,59H,12,14-16,18-19,22-24,28H2,1-11H3/b17-13-,21-20+
InChIKey IRCDNHGYZIAYSJ-VYHRCCAKSA-N
Properties
Density 1.228g/cm3 (Cal.)
Boiling point 1026.421°C at 760 mmHg (Cal.)
Flash point 574.559°C (Cal.)
Market Analysis Reports
List of Reports Available for 4-O-Acetyl-21-O-De(Aminocarbonyl)-27-Demethoxy-4-O,23,26-Tridemethyl-6-Deoxo-25-Deoxy-6-(2,3-Dimethoxy-1-Oxopropoxy)-27-Methyl-25-Oxokabiramide C
Related Products
Amantocillin  N,N'-Ethylenebis(N,N-dimethylthiuram dis...  Butyl-Trimethylsilane  4-Nitrobenzenediazonium Chloride  3-Methylpent-1-Yn-3-Yl Pentanoate  Sodium Propyl Sulfate  Dipotassium Silicate  2-Butoxy-2-Methylpropane  2-[2-[Hydroxymethyl-[2-(7-Methyloctanoyl...  Calcium 5-Methyl-2-[(2Z)-2-(2-Oxonaphtha...  2-[2-[Hydroxymethyl-[2-(Prop-2-Enoylamin...  Sodium Butyl Sulfate  1-Methylamino-2-Sulfosulfanylethane  2-Diethylamino-1-Naphthalen-2-Ylpropan-1...  3-Methyl-7-Phenyl-[1,2,4]Triazolo[3,4-f]...