Online Database of Chemicals from Around the World

Ulapualide A
[CAS# 100045-73-6]

供应商
CAS#: 100045-73-6
产品: Ulapualide A
暂时没有厂家供应该产品。
基本信息
产品名称 Ulapualide A
英文名 Ulapualide A
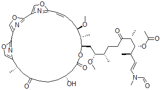
分子结构 CAS 登录号:100045-73-6, Ulapualide A
分子式 C46H64N4O13
分子量 881.03
CAS 登录号 100045-73-6
分子行输入简码 SMILES [C@@H]4(OC(=O)C[C@H](O)CCCC(=O)C[C@@H](C1=COC(=N1)C2=COC(=N2)C3=COC(=N3)\C=C/C[C@@H](OC)[C@@H]4C)C)C[C@@H](OC)[C@H](CCC(=O)[C@@H]([C@H](OC(=O)C)[C@@H](\C=C\N(C=O)C)C)C)C
国际化学标识码 InChI 1S/C46H64N4O13/c1-27(16-17-38(55)30(4)44(62-32(6)52)28(2)18-19-50(7)26-51)40(58-9)22-41-31(5)39(57-8)14-11-15-42-47-36(24-59-42)45-49-37(25-61-45)46-48-35(23-60-46)29(3)20-33(53)12-10-13-34(54)21-43(56)63-41/h11,15,18-19,23-31,34,39-41,44,54H,10,12-14,16-17,20-22H2,1-9H3/b15-11-,19-18+/t27-,28+,29-,30-,31-,34+,39+,40+,41+,44+/m0/s1
国际化学标识检索码 InChIKey LVCVJHOYJVOSGI-GALWPMFLSA-N
市场分析报告
请浏览Ulapualide A市场分析报告总目录
相关产品
4-O-Acetyl-21-O-De(Aminoc...  金刚西林  N,N'-乙烯二(N,N-二甲基秋兰姆二硫化物)  丁基-三甲基硅烷  4-硝基偶氮苯氯化物  3-甲基戊-1-炔-3-基戊酸酯  钠硫酸丙酯盐  硅酸二钾盐  2-丁氧基-2-甲基丙烷  2-[2-[羟基甲基-[2-(7-甲基辛酰基氨基)...  钙5-甲基-2-[(2Z)-2-(2-氧代萘-1-...  2-[2-[羟基甲基-[2-(丙-2-烯酰氨基)乙...  钠硫酸丁酯盐  1-甲基氨基-2-磺基硫基乙烷  2-二乙基氨基-1-萘-2-基丙-1-酮盐酸盐