Online Database of Chemicals from Around the World

化学品安全技术说明书

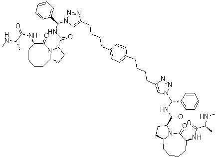
SM 164
[ CAS# 957135-43-2 ]

产品概述

structure of CAS# 957135-43-2, SM 164
产品名称 SM 164
CAS 登录号 957135-43-2
分子式 C62H84N14O6
分子量 1121.42
SM 164的详细资料
SM 164的供应商
 
资料来源 SDS 样本
Ambeed
file.ambeed.com/static/upload/prosds/am/204/SDS-A203870.pdf
浏览或下载

免责声明

本页所列之化学品安全技术说明书样本系 chemBlink 公司搜集的互联网公开信息,仅用于指导化学品安全技术说明书的编辑与制作。chemBlink 竭诚提供可靠信息,然而不承诺其完备与准确。 阅读全文...




相关化学品安全技术说明书
5-(乙氧羰基)噻吩-3-硼酸   1-(2,2-二甲基-1-氧代丙基)-1H-吲哚-6-羧酸甲酯   5-乙基-4-甲基-1H-吡唑-3-羧酸   2,2,4,4,6,6-六氢-2,2,4,4,6,6-六甲氧基-1,3,5,2,4,6-三氮杂三膦咛   N-(2,4-二硝基-5-氟苯基)-L-丙氨酰胺   4-(2,2,3-三甲基环戊基)丁酸   N-(叔丁氧基羰基)-D-丝氨酸甲酯   (R)-(+)-3-(叔-丁氧羰基)-2,2-二甲基-4-恶唑烷羧酸甲酯   (R)-(+)-3-Boc-2,2-二甲基恶唑啉-4-甲醛   2,5-二羟基甲苯