Online Database of Chemicals from Around the World

化学品安全技术说明书

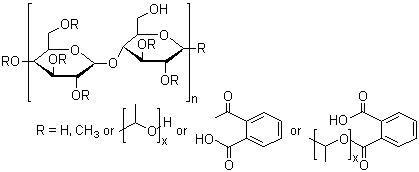
羟丙基甲基纤维素邻苯二甲酸酯
[ CAS# 9050-31-1 ]

产品概述

structure of CAS# 9050-31-1, 羟丙基甲基纤维素邻苯二甲酸酯
产品名称 羟丙基甲基纤维素邻苯二甲酸酯
CAS 登录号 9050-31-1
羟丙基甲基纤维素邻苯二甲酸酯的详细资料
羟丙基甲基纤维素邻苯二甲酸酯的供应商
 
资料来源 SDS 样本
Sigma-Aldrich
www.sigmaaldrich.com/catalog/Lookup.do?N5=All&N3=mode+matchpartialmax&N1=S_ID&ST=RS&N25=0&F=PR&D7=0&N4=9050-31-1
浏览或下载

免责声明

本页所列之化学品安全技术说明书样本系 chemBlink 公司搜集的互联网公开信息,仅用于指导化学品安全技术说明书的编辑与制作。chemBlink 竭诚提供可靠信息,然而不承诺其完备与准确。 阅读全文...




相关化学品安全技术说明书
1,1,1,2,2,3,3,4,4,5,5,6,6-十三氟十八烷   大孔树脂 A 21   阿拉西 A   聚乙烯醇肉桂酸酯   阿奇霉素 3'-N-氧化物   1-氨基-3-苄氧基丙醇   麦芽糖糊精   (S)-[1-(3-巯基吡咯烷-1-基)亚乙基]氨基甲酸对硝基苄酯   3,4,5-三甲氧基肉桂酸   西佐喃