Online Database of Chemicals from Around the World

化学品安全技术说明书

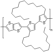
Lisicon SP 210
[ CAS# 888491-19-8 ]

产品概述

structure of CAS# 888491-19-8, Lisicon SP 210
产品名称 Lisicon SP 210
CAS 登录号 888491-19-8
分子式 (C42H62S4)n
Lisicon SP 210的详细资料
Lisicon SP 210的供应商
 
资料来源 SDS 样本
Sigma-Aldrich
www.sigmaaldrich.com/catalog/Lookup.do?N5=All&N3=mode+matchpartialmax&N1=S_ID&ST=RS&N25=0&F=PR&D7=0&N4=888491-19-8
浏览或下载

免责声明

本页所列之化学品安全技术说明书样本系 chemBlink 公司搜集的互联网公开信息,仅用于指导化学品安全技术说明书的编辑与制作。chemBlink 竭诚提供可靠信息,然而不承诺其完备与准确。 阅读全文...




相关化学品安全技术说明书
2-溴-5-三氟甲氧基吡啶   1-溴-3-(2,2,2-三氟乙氧基)苯   (3S,5S)-3,5-二甲基-1-哌嗪羧酸叔丁酯   N-甲基-N-丙基哌啶鎓溴化物   2'-脱氧-7,8-二氢-8-氧代鸟苷   1H-吡咯并[2,3-b]吡啶-4-甲胺   1,6-二氢-5-羟基-1-甲基-2-[1-甲基-1-[(苄氧基羰基)氨基]乙基]-6-氧代-4-嘧啶甲酸甲酯   5-甲基-1,3,4-恶二唑-2-羧酸钾   吡前列素钾盐   2-丙烯醛 2-(2,4-二硝基苯基)腙