Online Database of Chemicals from Around the World

化学品安全技术说明书

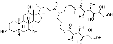
(3a,5b,7a,12a)-N,N-双[3-(D-葡萄糖酰氨基)丙基]-3,7,12-三羟基胆甾烷-24-胺
[ CAS# 86303-22-2 ]

产品概述

structure of CAS# 86303-22-2, (3a,5b,7a,12a)-N,N-双[3-(D-葡萄糖酰氨基)丙基]-3,7,12-三羟基胆甾烷-24-胺
产品名称 (3a,5b,7a,12a)-N,N-双[3-(D-葡萄糖酰氨基)丙基]-3,7,12-三羟基胆甾烷-24-胺
CAS 登录号 86303-22-2
分子式 C42H75N3O16
分子量 878.06
(3a,5b,7a,12a)-N,N-双[3-(D-葡萄糖酰氨基)丙基]-3,7,12-三羟基胆甾烷-24-胺的详细资料
(3a,5b,7a,12a)-N,N-双[3-(D-葡萄糖酰氨基)丙基]-3,7,12-三羟基胆甾烷-24-胺的供应商
 
资料来源 SDS 样本
Alfa-Aesar
www.alfa.com/en/content/msds/USA/J64631.pdf
浏览或下载
Apollo
www.apolloscientific.co.uk/downloads/msds/BIB1157_msds.pdf
浏览或下载

免责声明

本页所列之化学品安全技术说明书样本系 chemBlink 公司搜集的互联网公开信息,仅用于指导化学品安全技术说明书的编辑与制作。chemBlink 竭诚提供可靠信息,然而不承诺其完备与准确。 阅读全文...




相关化学品安全技术说明书
3-(1,1,2,3,3,3-六氟丙基)金刚烷-1-羧酸   4-(甲基氨基)-2-(甲硫基)-5-嘧啶羧酸   2-[[(4-氯-3,5-二甲基-2-吡啶基)甲基]亚砜]-6-甲氧基-1H-苯并咪唑   阿齐沙坦奥美沙坦酯   阿齐沙坦酯钾盐   甲基4-嘧啶基乙酸酯   (3a,5b,12a)-N,N-双[3-(D-葡萄糖酰氨基)丙基]-3,12-二羟基胆甾烷-24-胺   N-亚硝基二苯胺   己基硼酸频哪醇酯   3-[2-(2,4-二氯苯氧基)苯基]丙烯酸