Online Database of Chemicals from Around the World

化学品安全技术说明书

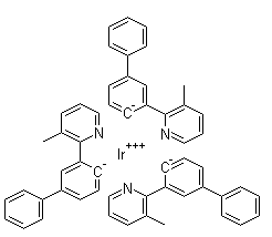
三[2-(3-甲基吡啶-2-基)(4-苯基)苯]合铱
[ CAS# 861144-71-0 ]

产品概述

structure of CAS# 861144-71-0, 三[2-(3-甲基吡啶-2-基)(4-苯基)苯]合铱
产品名称 三[2-(3-甲基吡啶-2-基)(4-苯基)苯]合铱
CAS 登录号 861144-71-0
分子式 C54H42IrN3
分子量 925.15
三[2-(3-甲基吡啶-2-基)(4-苯基)苯]合铱的详细资料
三[2-(3-甲基吡啶-2-基)(4-苯基)苯]合铱的供应商
 
资料来源 SDS 样本
Ambeed
file.ambeed.com/static/upload/prosds/am/516/SDS-A515431.pdf
浏览或下载

免责声明

本页所列之化学品安全技术说明书样本系 chemBlink 公司搜集的互联网公开信息,仅用于指导化学品安全技术说明书的编辑与制作。chemBlink 竭诚提供可靠信息,然而不承诺其完备与准确。 阅读全文...




相关化学品安全技术说明书
1-溴-2-甲氧基-4-甲基-5-硝基苯   5-溴-4-甲氧基-2-甲基苯胺   4-[(E)-(3-硝基苯基)偶氮]吗啉   2-溴-6-硝基苯甲醇   1-芘基甲基甲基丙烯酸酯   乙基3-(4-溴苯基)-1,2,4-恶二唑-5-羧酸酯   1-(4-甲氧基苄基)-1H-吡咯-2-甲醛   (R)-alpha-苄基-L-脯氨酸盐酸盐   (R)-2-氨基-3-甲氧基丙酸盐酸盐   (R)-2-氨基-3-甲氧基丙酸