Online Database of Chemicals from Around the World

化学品安全技术说明书

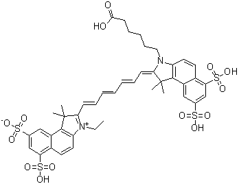
2-[7-[3-(5-羧基戊基)-1,3-二氢-1,1-二甲基-6,8-二磺基-2H-苯并[e]吲哚-2-亚基]-1,3,5-庚三烯-1-基]-3-乙基-1,1-二甲基-6,8-二磺基-1H-苯并[e]吲哚鎓内盐
[ CAS# 847180-48-7 ]

产品概述

structure of CAS# 847180-48-7, 2-[7-[3-(5-羧基戊基)-1,3-二氢-1,1-二甲基-6,8-二磺基-2H-苯并[e]吲哚-2-亚基]-1,3,5-庚三烯-1-基]-3-乙基-1,1-二甲基-6,8-二磺基-1H-苯并[e]吲哚鎓内盐
产品名称 2-[7-[3-(5-羧基戊基)-1,3-二氢-1,1-二甲基-6,8-二磺基-2H-苯并[e]吲哚-2-亚基]-1,3,5-庚三烯-1-基]-3-乙基-1,1-二甲基-6,8-二磺基-1H-苯并[e]吲哚鎓内盐
CAS 登录号 847180-48-7
分子式 C43H46N2O14S4
分子量 943.09
2-[7-[3-(5-羧基戊基)-1,3-二氢-1,1-二甲基-6,8-二磺基-2H-苯并[e]吲哚-2-亚基]-1,3,5-庚三烯-1-基]-3-乙基-1,1-二甲基-6,8-二磺基-1H-苯并[e]吲哚鎓内盐的详细资料
2-[7-[3-(5-羧基戊基)-1,3-二氢-1,1-二甲基-6,8-二磺基-2H-苯并[e]吲哚-2-亚基]-1,3,5-庚三烯-1-基]-3-乙基-1,1-二甲基-6,8-二磺基-1H-苯并[e]吲哚鎓内盐的供应商
 
资料来源 SDS 样本
Ambeed
file.ambeed.com/static/upload/prosds/am/420/SDS-A419444.pdf
浏览或下载

免责声明

本页所列之化学品安全技术说明书样本系 chemBlink 公司搜集的互联网公开信息,仅用于指导化学品安全技术说明书的编辑与制作。chemBlink 竭诚提供可靠信息,然而不承诺其完备与准确。 阅读全文...




相关化学品安全技术说明书
N-乙烯基氨基甲酸苄酯   N-叔丁氧羰基-2-(4-三氟甲基-苯基)-DL-甘氨酸   2-氯-1-氟-4-甲基磺酰基苯   2-(5-甲基-1,3,4-噻二唑-2-基)乙胺   1-(3-氨基-4-氯苯磺酰基)-1,2,3,4-四氢喹啉   1,2-环己二甲酸二异辛酯   吡啶-2,4-二醇   1,2-苯二甲酸 1-(2-乙氧基-2-氧代乙基) 2-乙基酯   4-氟吡啶-2-甲腈   5-丁基-2-氯嘧啶