Online Database of Chemicals from Around the World

化学品安全技术说明书

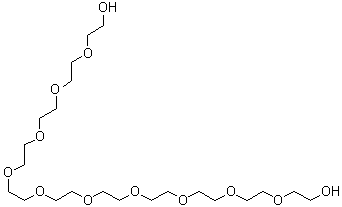
3,6,9,12,15,18,21,24,27,30-十氧杂三十二烷-1,32-二醇
[ CAS# 6809-70-7 ]

产品概述

structure of CAS# 6809-70-7, 3,6,9,12,15,18,21,24,27,30-十氧杂三十二烷-1,32-二醇
产品名称 3,6,9,12,15,18,21,24,27,30-十氧杂三十二烷-1,32-二醇
CAS 登录号 6809-70-7
分子式 C22H46O12
分子量 502.59
3,6,9,12,15,18,21,24,27,30-十氧杂三十二烷-1,32-二醇的详细资料
3,6,9,12,15,18,21,24,27,30-十氧杂三十二烷-1,32-二醇的供应商
 
资料来源 SDS 样本
Ambeed
file.ambeed.com/static/upload/prosds/am/756/SDS-A755793.pdf
浏览或下载

免责声明

本页所列之化学品安全技术说明书样本系 chemBlink 公司搜集的互联网公开信息,仅用于指导化学品安全技术说明书的编辑与制作。chemBlink 竭诚提供可靠信息,然而不承诺其完备与准确。 阅读全文...




相关化学品安全技术说明书
6-(甲氧基甲基)-2-(甲硫基)-4-嘧啶醇   (氯甲基)三苯基碘化鏻   1H-咪唑-2-基(4-甲氧基苯基)甲酮   Boc-L-4-氯苯丙氨酸   替普瑞酮   1-氰基苯并环丁烯   2-(4-甲酰基苯氧基)-N-(四氢-2-呋喃基甲基)乙酰胺   ($+/-$)-苏式-4-甲基哌甲酯盐酸盐   盐酸苄普地尔   6-(1H-咪唑-1-基)-3-吡啶胺