Online Database of Chemicals from Around the World

化学品安全技术说明书

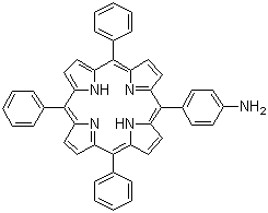
4-(10,15,20-三苯基卟啉-5-基)苯胺
[ CAS# 67605-64-5 ]

产品概述

structure of CAS# 67605-64-5, 4-(10,15,20-三苯基卟啉-5-基)苯胺
产品名称 4-(10,15,20-三苯基卟啉-5-基)苯胺
CAS 登录号 67605-64-5
分子式 C44H31N5
分子量 629.75
4-(10,15,20-三苯基卟啉-5-基)苯胺的详细资料
4-(10,15,20-三苯基卟啉-5-基)苯胺的供应商
 
资料来源 SDS 样本
Ambeed
file.ambeed.com/static/upload/prosds/am/988/SDS-A987041.pdf
浏览或下载

免责声明

本页所列之化学品安全技术说明书样本系 chemBlink 公司搜集的互联网公开信息,仅用于指导化学品安全技术说明书的编辑与制作。chemBlink 竭诚提供可靠信息,然而不承诺其完备与准确。 阅读全文...




相关化学品安全技术说明书
8-羟基-2-喹啉甲腈   2,5,7-三甲基-8-喹啉醇   10-氧代十一烷酸   2-氨基-5-硝基烟酸   (+/-)-柚皮素   N-[(3S)-四氢-2-氧代-3-呋喃基]丁酰胺   D-2-氨基丁酸盐酸盐   L-色氨酰-beta-丙氨酸   3-氨基-2-羟基苯甲腈   5-氨基-2-羟基苯甲腈