Online Database of Chemicals from Around the World

化学品安全技术说明书

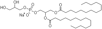
1,2-十四酰磷脂酰甘油钠盐
[ CAS# 67232-80-8 ]

产品概述

structure of CAS# 67232-80-8, 1,2-十四酰磷脂酰甘油钠盐
产品名称 1,2-十四酰磷脂酰甘油钠盐
CAS 登录号 67232-80-8
分子式 C34H66O10P.Na
分子量 688.84
1,2-十四酰磷脂酰甘油钠盐的详细资料
1,2-十四酰磷脂酰甘油钠盐的供应商
 
资料来源 SDS 样本
Sigma-Aldrich
www.sigmaaldrich.com/catalog/Lookup.do?N5=All&N3=mode+matchpartialmax&N1=S_ID&ST=RS&N25=0&F=PR&D7=0&N4=67232-80-8
浏览或下载

免责声明

本页所列之化学品安全技术说明书样本系 chemBlink 公司搜集的互联网公开信息,仅用于指导化学品安全技术说明书的编辑与制作。chemBlink 竭诚提供可靠信息,然而不承诺其完备与准确。 阅读全文...




相关化学品安全技术说明书
(4-噻唑-2-基苯基)甲胺   3-(2-噻唑基)-苯甲胺   (3R)-1-(2-氨乙基)-3-吡咯烷醇   3-(4-甲基-1-哌嗪)苯甲胺   溴-(3-溴-2-噻吩基)锌   1,2-棕榈酰磷脂酰甘油钠盐   O-(四氢-2H-吡喃-2-基)羟基胺   5-硝基愈创木酚钠   (1Z)-2,3,3,3-四氟-1-碘-1-丙烯   3-乙炔基噻吩