Online Database of Chemicals from Around the World

化学品安全技术说明书

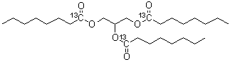
三辛酸甘油酯(羧基-13C3)
[ CAS# 65402-55-3 ]

产品概述

structure of CAS# 65402-55-3, 三辛酸甘油酯(羧基-<sup>13</sup>C<sub>3</sub>)
产品名称 三辛酸甘油酯(羧基-13C3)
CAS 登录号 65402-55-3
分子式 C27H50O6
分子量 470.68
三辛酸甘油酯(羧基-13C3)的详细资料
三辛酸甘油酯(羧基-13C3)的供应商
 
资料来源 SDS 样本
Sigma-Aldrich
www.sigmaaldrich.com/catalog/Lookup.do?N5=All&N3=mode+matchpartialmax&N1=S_ID&ST=RS&N25=0&F=PR&D7=0&N4=65402-55-3
浏览或下载

免责声明

本页所列之化学品安全技术说明书样本系 chemBlink 公司搜集的互联网公开信息,仅用于指导化学品安全技术说明书的编辑与制作。chemBlink 竭诚提供可靠信息,然而不承诺其完备与准确。 阅读全文...




相关化学品安全技术说明书
7-甲基-2,3-二氢异吲哚-1-酮   5-甲基-1-异吲哚啉酮   5-氨基苯酞   4-硝基苯酞   2,6-二氟苯乙腈   环丁烷乙酸   2,9-二甲基-1,10-菲咯啉水合物(1:1)   镉二氯化物   1-芘磺酸水合物(1:1)   桑色素