Online Database of Chemicals from Around the World

SDS Samples

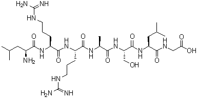
Kemptide
[ CAS# 65189-71-1 ]

Product Info

structure of CAS# 65189-71-1, Kemptide
Product Name Kemptide
CAS Registry Number 65189-71-1
Molecular Formula C32H61N13O9
Molecular Weight 771.91
More information of Kemptide
Suppliers of Kemptide
 
Source SDS Document
Alfa-Aesar
www.alfa.com/en/content/msds/USA/J60591.pdf
View / download
Cayman
www.caymanchem.com/msdss/15555m.pdf
View / download

Disclaimer

The SDS samples above are collected from the Internet by chemBlink and displayed here for the tutorial purpose only. chemBlink LLC provides the information contained herein in good faith but makes no representation as to its comprehensiveness or accuracy. Read full context...


More SDS files for chemicals
5-Acetyl-2-pyridinecarboxylic acid   6-Bromoquinoline-2-carbonitrile   2-Bromophenethylamine   5,6-Dichloronicotinonitrile   4-(Chloromethyl)meconin   Perfluoro-p-Xylene   Yohimbine hydrochloride   4-Nitro-1H-pyrazole-5-carboxamide   2-Methylharmine   2-(4-Methoxyphenyl)Malondialdehyde