Online Database of Chemicals from Around the World

化学品安全技术说明书

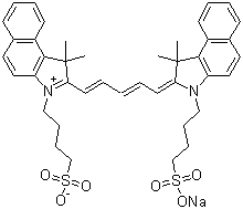
2-[5-[1,1-二甲基-3-(4-磺酸基丁基)-1,3-二氢苯并[e]吲哚-2-亚基]-戊-1,3-二烯基]-1,1-二甲基-3-(4-磺酸基丁基)-1H-苯并[e]吲哚鎓内盐钠盐
[ CAS# 64285-36-5 ]

产品概述

structure of CAS# 64285-36-5, 2-[5-[1,1-二甲基-3-(4-磺酸基丁基)-1,3-二氢苯并[e]吲哚-2-亚基]-戊-1,3-二烯基]-1,1-二甲基-3-(4-磺酸基丁基)-1H-苯并[e]吲哚鎓内盐钠盐
产品名称 2-[5-[1,1-二甲基-3-(4-磺酸基丁基)-1,3-二氢苯并[e]吲哚-2-亚基]-戊-1,3-二烯基]-1,1-二甲基-3-(4-磺酸基丁基)-1H-苯并[e]吲哚鎓内盐钠盐
CAS 登录号 64285-36-5
分子式 C41H45N2O6S2.Na
分子量 748.93
2-[5-[1,1-二甲基-3-(4-磺酸基丁基)-1,3-二氢苯并[e]吲哚-2-亚基]-戊-1,3-二烯基]-1,1-二甲基-3-(4-磺酸基丁基)-1H-苯并[e]吲哚鎓内盐钠盐的详细资料
2-[5-[1,1-二甲基-3-(4-磺酸基丁基)-1,3-二氢苯并[e]吲哚-2-亚基]-戊-1,3-二烯基]-1,1-二甲基-3-(4-磺酸基丁基)-1H-苯并[e]吲哚鎓内盐钠盐的供应商
 
资料来源 SDS 样本
TCI
www.spectrumchemical.com/MSDS/TCI-D4463.pdf
浏览或下载

免责声明

本页所列之化学品安全技术说明书样本系 chemBlink 公司搜集的互联网公开信息,仅用于指导化学品安全技术说明书的编辑与制作。chemBlink 竭诚提供可靠信息,然而不承诺其完备与准确。 阅读全文...




相关化学品安全技术说明书
氯唑西林钠   4-(2-氨基乙基氨基)-吡啶盐酸盐   4-氟-苯基丙氨酸甲酯盐酸盐(1:1)   3',4',5-三氯水杨基苯胺   (3R,5S,10S,13S,17S)-4,4,10,13-四甲基-17-[(2R)-6-甲基庚-5-烯-2-基]-1,2,3,5,6,7,11,12,16,17-十氢环戊烯并[a]菲-3-醇   3,3',5,5'-四甲基联苯胺盐酸盐   4-(三氟甲氧基)苯基异硫氰酸酯   (4-丁基苯基)-肼盐酸盐(1:1)   4-氟-3-甲氧基苯乙酮   四氢罂粟碱盐酸盐