Online Database of Chemicals from Around the World

化学品安全技术说明书

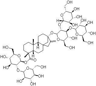
莱苞迪甙 D
[ CAS# 63279-13-0 ]

产品概述

structure of CAS# 63279-13-0, 莱苞迪甙 D
产品名称 莱苞迪甙 D
CAS 登录号 63279-13-0
分子式 C50H80O28
分子量 1129.17
莱苞迪甙 D的详细资料
莱苞迪甙 D的供应商
 
资料来源 SDS 样本
Sigma-Aldrich
www.sigmaaldrich.com/catalog/Lookup.do?N5=All&N3=mode+matchpartialmax&N1=S_ID&ST=RS&N25=0&F=PR&D7=0&N4=63279-13-0
浏览或下载

免责声明

本页所列之化学品安全技术说明书样本系 chemBlink 公司搜集的互联网公开信息,仅用于指导化学品安全技术说明书的编辑与制作。chemBlink 竭诚提供可靠信息,然而不承诺其完备与准确。 阅读全文...




相关化学品安全技术说明书
1-氨基-3-(3-甲氧基苯氧基)-2-丙醇   1-氨基-3-(4-乙基苯氧基)-2-丙醇   L-天门冬氨酸二苄酯盐酸盐   2-吗啉基-2-苯基乙酰胺   四溴苯酐   4-溴-1-萘磺酰氯   1-溴-4-碘萘   四碘邻苯二甲酸酐   1-(9-溴菲-3-基)乙酮   骨化二醇