Online Database of Chemicals from Around the World

化学品安全技术说明书

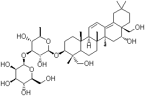
柴胡皂甙 B2
[ CAS# 58316-41-9 ]

产品概述

structure of CAS# 58316-41-9, 柴胡皂甙 B2
产品名称 柴胡皂甙 B2
CAS 登录号 58316-41-9
分子式 C42H68O13
分子量 780.99
柴胡皂甙 B2的详细资料
柴胡皂甙 B2的供应商
 
资料来源 SDS 样本
Sigma-Aldrich
www.sigmaaldrich.com/catalog/Lookup.do?N5=All&N3=mode+matchpartialmax&N1=S_ID&ST=RS&N25=0&F=PR&D7=0&N4=58316-41-9
浏览或下载

免责声明

本页所列之化学品安全技术说明书样本系 chemBlink 公司搜集的互联网公开信息,仅用于指导化学品安全技术说明书的编辑与制作。chemBlink 竭诚提供可靠信息,然而不承诺其完备与准确。 阅读全文...




相关化学品安全技术说明书
烟酰-甘氨酸   3-碘苯甲酸乙酯   四-p-甲苯基乙烯   N-[2-硝基-4-(三氟甲基)苯基]哌嗪   2-[(四氢糠基)氧基]乙醇   2-羟基肉桂酸   邻溴苯乙醚   5-硝基-2-噻吩甲酸甲酯   聚(乙二醇)甲基醚对甲苯磺酸盐   双嘧达莫