Online Database of Chemicals from Around the World

化学品安全技术说明书

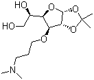
氨普立糖
[ CAS# 56824-20-5 ]

产品概述

structure of CAS# 56824-20-5, 氨普立糖
产品名称 氨普立糖
CAS 登录号 56824-20-5
分子式 C14H27NO6
分子量 305.37
氨普立糖的详细资料
氨普立糖的供应商
 
资料来源 SDS 样本
Matrix
www.matrixscientific.com/media/msds/09/94/73/MxMSDS_099473.pdf
浏览或下载

免责声明

本页所列之化学品安全技术说明书样本系 chemBlink 公司搜集的互联网公开信息,仅用于指导化学品安全技术说明书的编辑与制作。chemBlink 竭诚提供可靠信息,然而不承诺其完备与准确。 阅读全文...




相关化学品安全技术说明书
2-氨基-N-丙基-苯甲酰胺   2-氨基-N-环己基苯甲酰胺   甘油   (S)-3-羟基丁酸乙酯   1-甲基-4-(3-甲基-3-丁烯-1-基)苯   N-(2-氯乙基)-吡咯烷盐酸盐   4-氯-6-甲基-3-喹啉羧酸乙酯   4-氯-7,8-二甲基喹啉-3-羧酸乙酯   4-氯-8-氟喹啉-3-羧酸乙酯   DL-甘油醛