Online Database of Chemicals from Around the World

化学品安全技术说明书

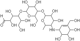
阿卡波糖
[ CAS# 56180-94-0 ]

产品概述

structure of CAS# 56180-94-0, 阿卡波糖
产品名称 阿卡波糖
CAS 登录号 56180-94-0
分子式 C25H43NO18
分子量 645.61
阿卡波糖的详细资料
阿卡波糖的供应商
 
资料来源 SDS 样本
Alfa-Aesar
www.alfa.com/en/content/msds/USA/J61737.pdf
浏览或下载
Sigma-Aldrich
www.sigmaaldrich.com/catalog/Lookup.do?N5=All&N3=mode+matchpartialmax&N1=S_ID&ST=RS&N25=0&F=PR&D7=0&N4=56180-94-0
浏览或下载
TCI
www.spectrumchemical.com/MSDS/TCI-A2485.pdf
浏览或下载

免责声明

本页所列之化学品安全技术说明书样本系 chemBlink 公司搜集的互联网公开信息,仅用于指导化学品安全技术说明书的编辑与制作。chemBlink 竭诚提供可靠信息,然而不承诺其完备与准确。 阅读全文...




相关化学品安全技术说明书
3-氧杂二环[3,1,0]己烷-2,4-二酮   2-乙氧基-5-氟尿嘧啶   环丙基丙二酸   野菊花醇   3-环丙基丙酸   4-氯-5-溴嘧啶   2-溴-4,6-二苯基嘧啶   3-[1,1'-联苯]-4-基-3,4-二氢萘-1(2H)-酮   3-(4-联苯基)-1,2,3,4-四氢-1-萘酚   2-溴噻吩-3-甲腈