Online Database of Chemicals from Around the World

化学品安全技术说明书

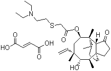
延胡索酸泰妙菌素
[ CAS# 55297-96-6 ]

产品概述

structure of CAS# 55297-96-6, 延胡索酸泰妙菌素
产品名称 延胡索酸泰妙菌素
CAS 登录号 55297-96-6
分子式 C28H47NO4S.C4H4O4
分子量 609.82
延胡索酸泰妙菌素的详细资料
延胡索酸泰妙菌素的供应商
 
资料来源 SDS 样本
Alfa-Aesar
www.alfa.com/en/content/msds/USA/J66020.pdf
浏览或下载
Sigma-Aldrich
www.sigmaaldrich.com/catalog/Lookup.do?N5=All&N3=mode+matchpartialmax&N1=S_ID&ST=RS&N25=0&F=PR&D7=0&N4=55297-96-6
浏览或下载
Acros-Organics
www.acros.com/DesktopModules/Acros_Search_Results/Acros_Search_Results.aspx?search_type=CAS&SearchString=55297-96-6
浏览或下载

免责声明

本页所列之化学品安全技术说明书样本系 chemBlink 公司搜集的互联网公开信息,仅用于指导化学品安全技术说明书的编辑与制作。chemBlink 竭诚提供可靠信息,然而不承诺其完备与准确。 阅读全文...




相关化学品安全技术说明书
噻节因   4-碘-4'-甲基联苯   双水杨酸酯   Boc-D-异谷氨酰胺   泰妙菌素   5-氨基苯并咪唑   5-[(2-羟乙基)-氨基]-2-甲苯酚   3,4-二氢-2(1H)-喹啉酮   2,6-二氯-3-吡啶甲醛   2,6-二氯-3-(三氟甲基)吡啶