Online Database of Chemicals from Around the World

化学品安全技术说明书

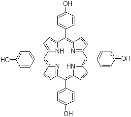
5,10,15,20-四(4-羟基苯基)卟啉
[ CAS# 51094-17-8 ]

产品概述

structure of CAS# 51094-17-8, 5,10,15,20-四(4-羟基苯基)卟啉
产品名称 5,10,15,20-四(4-羟基苯基)卟啉
CAS 登录号 51094-17-8
分子式 C44H30N4O4
分子量 678.73
5,10,15,20-四(4-羟基苯基)卟啉的详细资料
5,10,15,20-四(4-羟基苯基)卟啉的供应商
 
资料来源 SDS 样本
Sigma-Aldrich
www.sigmaaldrich.com/catalog/Lookup.do?N5=All&N3=mode+matchpartialmax&N1=S_ID&ST=RS&N25=0&F=PR&D7=0&N4=51094-17-8
浏览或下载
TCI
www.spectrumchemical.com/MSDS/TCI-T1497.pdf
浏览或下载
Matrix
www.matrixscientific.com/media/msds/10/05/57/MxMSDS_100557.pdf
浏览或下载

免责声明

本页所列之化学品安全技术说明书样本系 chemBlink 公司搜集的互联网公开信息,仅用于指导化学品安全技术说明书的编辑与制作。chemBlink 竭诚提供可靠信息,然而不承诺其完备与准确。 阅读全文...




相关化学品安全技术说明书
6-氯色原酮-3-羧酸   硫代烟酸   吡咯烷二硫代甲酸铵盐   (S)-(+)-萘普生氯化物   玫瑰黄色素   丁醇钽   4-羟基苯基乳酸甲酯   (1’S,2’S)-尼古丁1’-氧化物   (S)-(+)-2-苄胺-1-苯乙醇   2-吡啶-2-基-喹啉-4-甲酰肼