Online Database of Chemicals from Around the World

SDS Samples

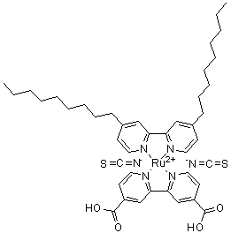
Ruthenium 520DN
[ CAS# 502693-09-6 ]

Product Info

structure of CAS# 502693-09-6, Ruthenium 520DN
Product Name Ruthenium 520DN
CAS Registry Number 502693-09-6
Molecular Formula C42H50N6O4RuS2.2H
Molecular Weight 870.10
More information of Ruthenium 520DN
Suppliers of Ruthenium 520DN
 
Source SDS Document
Sigma-Aldrich
www.sigmaaldrich.com/catalog/Lookup.do?N5=All&N3=mode+matchpartialmax&N1=S_ID&ST=RS&N25=0&F=PR&D7=0&N4=502693-09-6
View / download
TCI
www.spectrumchemical.com/MSDS/TCI-B4373.pdf
View / download

Disclaimer

The SDS samples above are collected from the Internet by chemBlink and displayed here for the tutorial purpose only. chemBlink LLC provides the information contained herein in good faith but makes no representation as to its comprehensiveness or accuracy. Read full context...


More SDS files for chemicals
Hexadecyl 3,4,5-trihydroxybenzoate   3-(3-Thienyl)-2-Propenoic Acid Ethyl Ester   N,N-Diglycidyl-4-glycidyloxyaniline   5-(2-Methylbenzyl)-4H-1,2,4-triazol-3-amine   Phytone   1H-Pyrrole-2-carbohydrazide   2,4,6-Trichloro-5-pyrimidinecarboxaldehyde   (2E,4E,6E,8E,10E,12E,14E)-2,6,11,15-Tetramethyl-2,4,6,8,10,12,14-hexadecaheptaenedial   Estriol   Ethyl (Hydroxymethyl)-Carbamate