Online Database of Chemicals from Around the World

化学品安全技术说明书

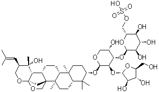
假马齿苋皂苷 I
[ CAS# 382148-47-2 ]

产品概述

structure of CAS# 382148-47-2, 假马齿苋皂苷 I
产品名称 假马齿苋皂苷 I
CAS 登录号 382148-47-2
分子式 C46H74O20S
分子量 979.13
假马齿苋皂苷 I的详细资料
假马齿苋皂苷 I的供应商
 
资料来源 SDS 样本
Sigma-Aldrich
www.sigmaaldrich.com/catalog/Lookup.do?N5=All&N3=mode+matchpartialmax&N1=S_ID&ST=RS&N25=0&F=PR&D7=0&N4=382148-47-2
浏览或下载

免责声明

本页所列之化学品安全技术说明书样本系 chemBlink 公司搜集的互联网公开信息,仅用于指导化学品安全技术说明书的编辑与制作。chemBlink 竭诚提供可靠信息,然而不承诺其完备与准确。 阅读全文...




相关化学品安全技术说明书
1-(3-甲氧基苯氧基)-2-丙醇   6-甲氧基-4-嘧啶羧酸   6-氨基-嘧啶-4-羧酸   假马齿苋皂苷 II   4-甲基-2-(5-苯基-1H-吡唑-3-基)苯酚   2-(溴甲基)-1,1,1,3,3,3-六氟丙烷   1-溴-2-(三氟甲基)-3,3,3-三氟丙-1-烯   1-己基-3-甲基咪唑鎓二(三氟甲烷磺酰基)亚胺盐   香豆素 6   4,4'-二乙炔基联苯