Online Database of Chemicals from Around the World

化学品安全技术说明书

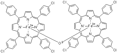
mu-氧二[(5,10,15,20-四(4-氯苯基)卟啉)铁]
[ CAS# 37191-15-4 ]

产品概述

structure of CAS# 37191-15-4, mu-氧二[(5,10,15,20-四(4-氯苯基)卟啉)铁]
产品名称 mu-氧二[(5,10,15,20-四(4-氯苯基)卟啉)铁]
CAS 登录号 37191-15-4
分子式 C88H48Cl8Fe2N8O
分子量 1628.69
mu-氧二[(5,10,15,20-四(4-氯苯基)卟啉)铁]的详细资料
mu-氧二[(5,10,15,20-四(4-氯苯基)卟啉)铁]的供应商
 
资料来源 SDS 样本
Ambeed
file.ambeed.com/static/upload/prosds/am/885/SDS-A884920.pdf
浏览或下载

免责声明

本页所列之化学品安全技术说明书样本系 chemBlink 公司搜集的互联网公开信息,仅用于指导化学品安全技术说明书的编辑与制作。chemBlink 竭诚提供可靠信息,然而不承诺其完备与准确。 阅读全文...




相关化学品安全技术说明书
3,5-二甲基吡啶-N-氧化物   二(异丙基酰胺基)磷酰氟   3-碘苄胺盐酸盐   菠萝蛋白酶   1,1-二氟环己烷   beta-环糊精硫酸化钠盐   1-(三氟甲基)环丙烷甲醇   3-[4-(4-吗啉基)吡啶并[3',2':4,5]呋喃并[3,2-d]嘧啶-2-基]苯胺   PI 103    3-[4-(4-吗啉基)吡啶并[3',2':4,5]呋喃并[3,2-d]嘧啶-2-基]苯酚单盐酸盐