Online Database of Chemicals from Around the World

化学品安全技术说明书

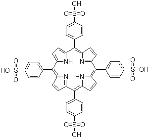
(卟吩-5,10,15,20-四基)四(苯-4-磺酸)
[ CAS# 35218-75-8 ]

产品概述

structure of CAS# 35218-75-8, (卟吩-5,10,15,20-四基)四(苯-4-磺酸)
产品名称 (卟吩-5,10,15,20-四基)四(苯-4-磺酸)
CAS 登录号 35218-75-8
分子式 C44H30N4O12S4
分子量 934.99
(卟吩-5,10,15,20-四基)四(苯-4-磺酸)的详细资料
(卟吩-5,10,15,20-四基)四(苯-4-磺酸)的供应商
 
资料来源 SDS 样本
Sigma-Aldrich
www.sigmaaldrich.com/catalog/Lookup.do?N5=All&N3=mode+matchpartialmax&N1=S_ID&ST=RS&N25=0&F=PR&D7=0&N4=35218-75-8
浏览或下载
TCI
www.spectrumchemical.com/MSDS/TCI-A5013.pdf
浏览或下载

免责声明

本页所列之化学品安全技术说明书样本系 chemBlink 公司搜集的互联网公开信息,仅用于指导化学品安全技术说明书的编辑与制作。chemBlink 竭诚提供可靠信息,然而不承诺其完备与准确。 阅读全文...




相关化学品安全技术说明书
4-氟苯基溴化镁   7-十四碳炔   依托红霉素   3-(甲烷磺酰基)苯胺   4-(2-环氧乙烷基甲氧基)苯甲酸   1-庚烯-4-醇   4-(1,3,4-恶二唑-2-基)苯胺   肌苷-5'-单磷酸二钠盐水合物   乙基5-氨基-2-甲基咪唑并[1,2-a]吡啶-3-羧酸酯   4-氯-5,7-二甲基喹啉