Online Database of Chemicals from Around the World

化学品安全技术说明书

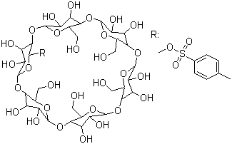
alpha-环糊精-6-单甲苯磺酸酯
[ CAS# 32860-56-3 ]

产品概述

structure of CAS# 32860-56-3, alpha-环糊精-6-单甲苯磺酸酯
产品名称 alpha-环糊精-6-单甲苯磺酸酯
CAS 登录号 32860-56-3
分子式 C43H66O32S
分子量 1127.04
alpha-环糊精-6-单甲苯磺酸酯的详细资料
alpha-环糊精-6-单甲苯磺酸酯的供应商
 
资料来源 SDS 样本
TCI
www.spectrumchemical.com/MSDS/TCI-M1644.pdf
浏览或下载

免责声明

本页所列之化学品安全技术说明书样本系 chemBlink 公司搜集的互联网公开信息,仅用于指导化学品安全技术说明书的编辑与制作。chemBlink 竭诚提供可靠信息,然而不承诺其完备与准确。 阅读全文...




相关化学品安全技术说明书
二甲基-[3-(苯基甲基铵基)丙基]铵   4-三氟甲基苯乙酸   (4-叔丁基苯基)乙酸   二氢-5,5-二甲基噻吩-3(2H)-酮   2-(三氟甲氧基)苯酚   麦芽三糖醇   3-溴肉桂酸   4-溴甲基-2,1,3-苯并恶二唑   5-溴甲基-2,1,3-苯并噁二唑   苯并噁二唑-4-甲醛