Online Database of Chemicals from Around the World

化学品安全技术说明书

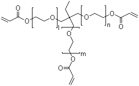
乙氧基化三羟甲基丙烷三丙烯酸酯
[ CAS# 28961-43-5 ]

产品概述

structure of CAS# 28961-43-5, 乙氧基化三羟甲基丙烷三丙烯酸酯
产品名称 乙氧基化三羟甲基丙烷三丙烯酸酯
CAS 登录号 28961-43-5
乙氧基化三羟甲基丙烷三丙烯酸酯的详细资料
乙氧基化三羟甲基丙烷三丙烯酸酯的供应商
 
资料来源 SDS 样本
Sigma-Aldrich
www.sigmaaldrich.com/catalog/Lookup.do?N5=All&N3=mode+matchpartialmax&N1=S_ID&ST=RS&N25=0&F=PR&D7=0&N4=28961-43-5
浏览或下载

免责声明

本页所列之化学品安全技术说明书样本系 chemBlink 公司搜集的互联网公开信息,仅用于指导化学品安全技术说明书的编辑与制作。chemBlink 竭诚提供可靠信息,然而不承诺其完备与准确。 阅读全文...




相关化学品安全技术说明书
冬凌草甲素   (R)-3-氨基-2-氮杂环庚酮   N-苄基托品酮   1,5-二羟基戊烷-1,5-二磺酸二钠   乙烯叉氟化物-三氟乙烯共聚物   塞尼卡泊   4-乙基间苯二酚   3-丙基邻苯二酚   2-甲氧基-6-甲基苯酚   4-氧-2,2,6,6-四甲基哌啶-1-氧自由基